holaa amigos no entiendo como hacer este ejercicio de matrices me ayudan?
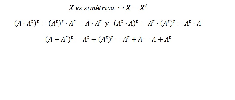
dice: sea A una matriz n*n
a) demuestre que AA^t y A^t*A son simétricas.
b)demuestre que A+A^t es simétrica.
gracias!!!
Alguien que pueda ayudarme con Rectas De algebra de vectores o (Vectorial) con un poco de teoria y formulario? agradecido de antemano
esto te puede servir para rectas y planos http://www.unicoos.com/tema/matematicas/2-bachiller/rectas-y-planos
para vectores http://www.unicoos.com/tema/matematicas/2-bachiller/vectores
un poco de teoria http://www.unicoos.com/teoriaTemas/97_WMora_Vectores_Rectas_Planos.pdf
y ejercicios resueltos http://www.unicoos.com/teoriaTemas/97_posiciones_relativas_rectas_planos.pdf
y aca mas videos de geometria analitica http://www.unicoos.com/tema/matematicas/1-bachiller/geometria-analitica
hola buenas
tengo una duda, para hallar un plano perpendicular a otro y contenga a la recta. yo lo que he hecho ha sido sacar el vector director de r y el pto de r, y haciendo el producto vectorial del plano que me daban y el vector de r, asi hallaria el vector normal del plano que busco.
No se si lo que he hecho esta bien o me lo he inventado jaja
Si lanzamos un dado 1000 veces, ¿cual es la probabilidad de que el número de cincos obtenidos sea menor que 100? Es un problema de primero de bachillerato de distribuciones de probabilidad, y lo he intentado hacer pero es que no me da el resultado correcto y no sé qué más hacer.

Es un ejercicio de distribucion normal... n=1000, p=1/6, q=5,6... µ=n.p=166,67... σ=√(n.p.q)=√(1000.(1/6)(5/6))=11,785
Y calculas despues P(x<=100) Echales un vistazo..
Aproximacion de Binomial a Normal - Correccion de YATES Distribucion Binomial Distribución normal
alguien sabe cuales son los mejores videos para Matematica Empresarial?
Te agradeceríamos que fueses un poco más exacto, para saber que temas en concreto estás buscando. En el apartado de matemáticas que hay en esta página, son de secundaria y bachillerato en principio. Y con algún tema de universidad. Depende de los temas que andes buscando. Arriba, en la barra informativa, pincha en VÍDEOS / MATEMÁTICAS y elige algún tema en concreto. Quizás para el tema de gestión empresarial te haga falta algo de estadística (probabilidad, distribución ...) entre otras cosas
Dominio de una función: Dominio de una funcion
Vector gradiente: Vector Gradiente
Echale un vistazo al buscador, que seguro que te salen más videos de los temas que nos planteas.
Hola! Alguno podría decirme cuál es el enlace para hacer los test de autoevaluación del tema de Mates de Unicoos?? es que no lo encuentro y me gustaría hacer alguno (y de paso ganar más medallitas :P )
Gracias!
Todavía no están disponibles. Según esta entrevista que le hicieron esta semana a David ( http://radioemprende.com/podcast-ideas-20160609-quiero-que-mi-red-sea-cada-vez-mas-grande-para-ayudar-no-por-el-dinero ), comentó que en dos semanas estará disponible una nueva versión de unicoos.com con esos test de autoevaluación que comentas. Estate atenta a la web que enseguida tendrás dichos exámenes. Puedes echarle un vistazo a la entrevista que le hicieron a David en el enlace que te he pasado. Salu2
Probabilidad de sucesos independientes Te paso el enlace de un video sobre "probabilidad". Tienes varios. Echales un vistazo y a ver si consigues plantear por lo menos el ejercicio, y si te atascas o no sabes como avanzar, te podremos ayudar. Echale un vistazo a los videotutoriales
Gracias profe. Es una de las respuestas del examen de selectividad de Gipuzkoa. Estamos todos muy nerviosos por que la dificultad del examen respecto a los años anteriores ha sido mucho mayor. Hay de hecho una gran polémica por ello.
https://www.change.org/p/eusko-jaurlaritza-que-retiren-el-examen-de-selectividad-de-mate-sociales-2016?recruiter=554180417&utm_source=share_petition&utm_medium=whatsapp
Hola buenas tardes, tengo dudas con dos ejercicios que aparecieron en selectividad, los hice varias veces, pero no me salen. Quizás alguien pueda ayudarme. Muchas gracias
Mando la foto del último intento, el resto los hice en la misma hoja que he ido borrando, pues lo hice a lápiz, para volver a intentarlo, y el resto como verás está incluso tachado, ya por la desesperación de borrarlo una y otra, y otra vez...
Siento el desorden, espero que se entienda algo

Si -20x+180=0.... -20x=-180.... x=9.. ese es un pequeño fallo...
Si z son el numero de camisetas.... z=180-10x..... Y el coste de esas camisetas será C(z)=4.z+50=C(x)=4.(180-10x)+50=720-40x+50=770-40x...
Y el beneficion=I(x)-C(x)=-10x²+180 -(770-40x)= -10x²+40x-590...
Espero te sirva...