Hola! Me gustaría saber si esta integral está bien... yo creo que me he equivocado en el último paso... gracias de antemano !

Dos "syntax errors":
Falta dx en du y en la integral.
Falta la constante aditiva de integración al final.
Y una observación:
Como 1+x^2>0, ∀x, puedes suprimir al final el valor absoluto.
Y como comenta Daniel, el factor 1/2, que luego puedes incorporar al logaritmo en forma de raíz cuadrada de 1+x^2.
Hola, me piden los resultados que aparecen al principio de la página, pero en la pregunta 2, la desviación típica me da 1.6 y la respuesta es 2.16, ¿qué he hecho mal?
Después en la pregunta 3, creo que es la respuesta c) ya que el intervalo modal es el que tiene mayor densidad de frecuenta, es decir el rectángulo con mayor altura, pues ahí pone que la respuesta es la d)
Gracias de antemano!!
Hola, me piden que estudie la función f(x)= (x+2)^2/x+1
Al hacer la segunda derivada y ver si es cóncava y convexa me acabo dando 2x+2 igualo a 0 y me dio -1. Entonces hice la tabla de -infinito a -1) es cóncava y de (-1, a más infinito convexa)
El -1 entonces sería un punto de inflexión, no? El problema está en calcular las coordenadas del punto de inflexión ya que me da 1/0...
Hola :)
Si yo tengo la función: f(x)=x^3 -3x -2
Y me piden los puntos de corte, para hacerlos en OX: Hago Ruffini y lo hago con el -1, y después resuelvo la ecuación que me ha dado por la fórmula de las ecuaciones de 2 grado y me da 2 & -1.
Mi duda está en que en este caso una solución de la ecuación coincide con Ruffini, si no fuera el caso y al hacer Ruffini me hubiese dado 3, otra solución sería (3,0)? o con el signo cambiado. No sé si me explico
Buenos dias: Tengo examen global de matemáticas la semana que viene y tengo una duda con el ejercicio:
f(x)=log2 de la raiz cubica de tg x
y f(x) = (x^2+1)^cos x
gracias de antemano

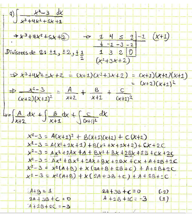
Vas muy bien Estefany. De la ecuacion 1 tenemos que: A+B=1→A=1-B
Sustituimos el valor de A en la ecuacion 2 y 3:
2(1-B)+3B+C=0→2-2B+3B+C=0→B+C=-2...Ecuación 2
(1-B)+2B+2C=-3→B+2C=-4...Ecuación 3
Ahora te queda un sistema 2x2. Para resolverlo puedes restar ambas ecuaciones y tenemos que:
(B+C)-(B+2C)=-2-(-4)→-C=2→ C=-2
Podemos obtener ahora el valor de B sustituyendo el valor encontrado en la ecuacion 2:
B-2=-2→B=0
Finalmente encontramos el valor de A:
A=1-0→A=1
Y ya tienes los coeficientes buscados, ojala y te sirva :)