Amigos que tal de urgencia como puedo despejar
quiero saber dv/dx
porfavor me urge:(

Hola Juanfran, lamentablemente no estoy en mi casa como para ayudarte pero la idea es llegar al criterio de la 2da derivada para extraer información sobre los máximos y mínimos, realizando todo ese proceso sabrás cuando la función es creciente, cuál es el máximo, y en cuanto a la alternativa c) iguala la función a 3, desarolla y si es que estás obligado a realizar la formula de las ecuaciones cuadráticas(que te dará dos soluciones) tienes que escoger la que sea positiva, debido a que no hay precios negativos.
6⁄(2(1+2))=1 siguiendo su logica de que es 9 un ejemplo = 6/2(1+2) -> 6/2+4=7 al poner en la calculadora 6/2*(1+2) que le salio 9 porque la calculadora lo expuso en esta expresion (6/2)*(1+2) por eso yo confirmo que es 1 no 9
si estoy haciendo la derivada de una función, y al hacer los calculos veo que es continua, y luego cuando hago el limite de la derivada, por izquierda y por derecha, me dan números diferentes, eso significa que no es derivable?
¡Hola!
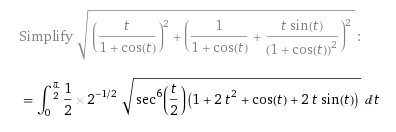
Necesito ayuda con la ecuación que adjunto, ya que no se como simplificarla para separar la parte real de la parte imaginaria (y necesito la parte real para seguir con un problema).Si alguien pudiera ayudarme se lo agradecería eternamente.
¡Un saludo!
Hola! Qué tal? Vuelvo a molestarlos...
Necesito ayuda con estos ejercicios. Sé que son varios pero si alguien me ayuda con al menos uno voy le voy a agradecer muchísimo!
Gracias por adelantado!