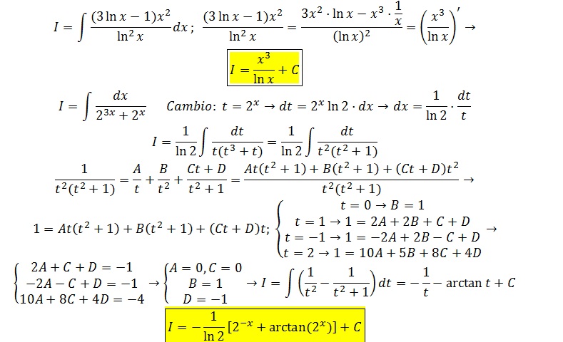
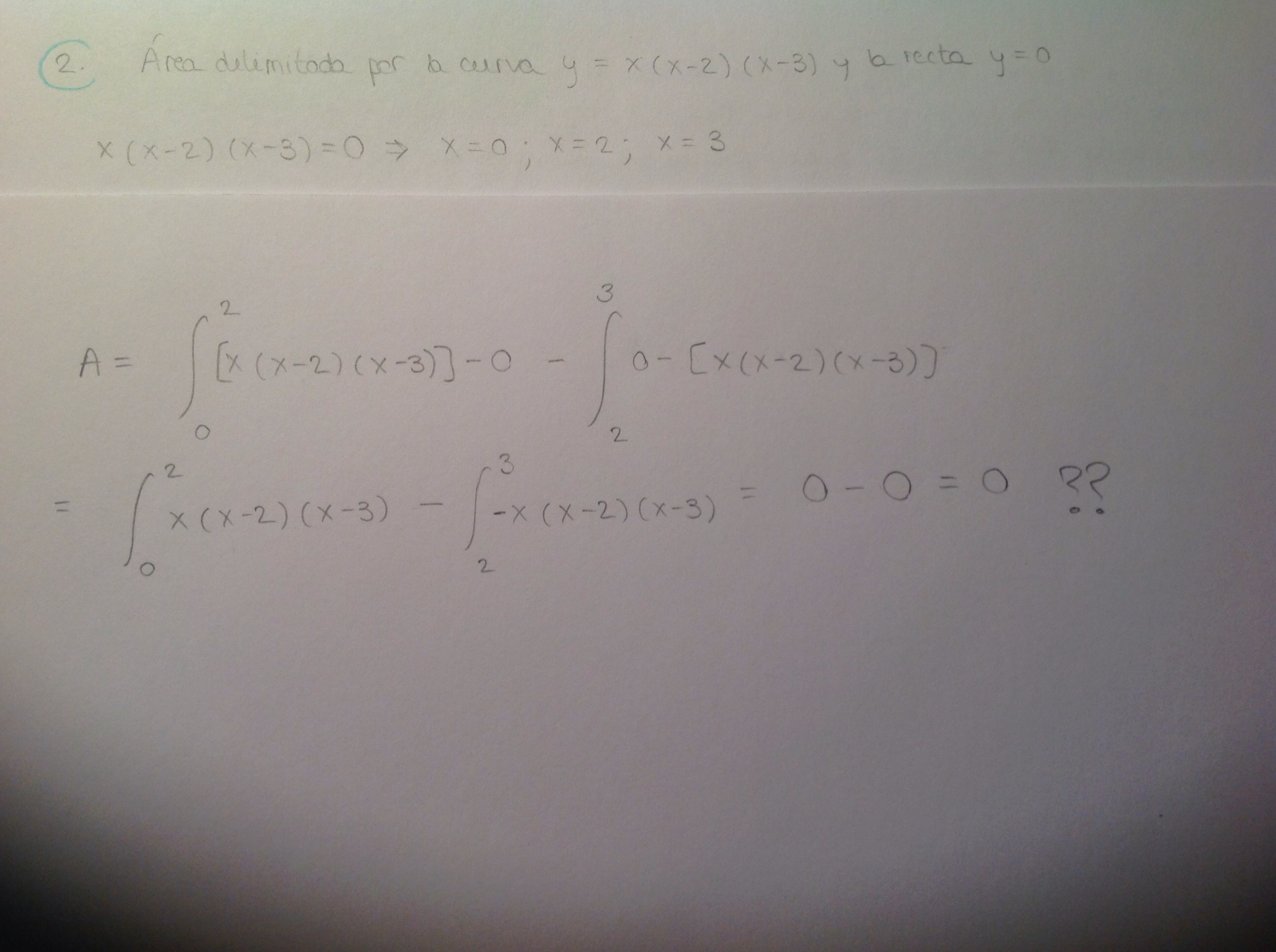
Hola! He hecho ejercicios como este muchas veces, pero de verdad que ahora mismo no veo qué estoy haciendo mal porque me da que el área encerrada entre la función y el eje de abscisas es cero...Agradecería muchísimo que me hiciérais ver el error :)
Buenas tardes tengo problemas con este ejercicio, necesito una orientación.
Matías se recibió de ingeniero y en su trabajo le pidieron que diseñara una rotonda lo más grande posible, para un cruce de caminos alrededor de la misma (los caminos no pasan por dentro de la rotonda). Para construirla se deben expropiar los sectores circulares de las esquinas de los terrenos. Cerca del cruce se encuentra el pozo de agua de una finca, situado a 0,07 km al este y 30 m al norte del centro del mismo. El sector a expropiar debe llegar como máximo hasta una distancia de 10 m del pozo. Matías ubica en su tablero de dibujo el centro de la rotonda en el origen de coordenadas. ¿Cuánto puede medir como máximo el diámetro de la rotonda si los caminos son de 30 m de ancho?
hola alguien sabe algo de geoometria analitica??

Hola Abel,
Te recomiendo que te mires los vídeos de geometría analítica y si sigues teniendo dudas, puedes hacer preguntas más concretas en el foro.
Geometría analítica
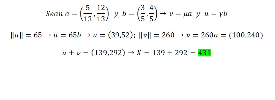
los vectores u y v forman un angulo agudo si [u] =65 , [v]=260; el versor de la proyeccion de u sobre v es igual al vector ( 5/13; 12/13) y el versor de la proyeccion v sobre u es igual al vector (3/5; 4/5); entonces la suma de las componentes de u + v es igual a
a) 431 b) 432 c) 433 d) 434 e) 435
a mi me salio 434
buenas , me podéis ayudar por favor , me piden que calcule donde se cota la parábola y=x^2-3x+3 y la recta y=x y halle el área del recinto .
no se como sacar los puntos en que se cortan . Gracias
¡Hola a todos! Esta comunidad es realmente genial y apasionante. Muchísimas gracias por la ayuda, de verdad. :)
Bueno, estoy en 1º de Bachillerato y estamos viendo derivadas. Nuestro examen constará de 4 derivadas y si fallamos una suspendemos y quiero hacer
una especie de pre-examen. ¿Podríais ponerme unas cuantas derivadas DE EXAMEN? Es importante que sean 'de examen', porque todo el mundo sabe
que en tu casa practicas y haces un montón de ejercicios. Pero luego en el examen son bastante más complejos.
Gracias de antemano,
Sergio.
Hoola! Me surgió una duda repasando los contenidos de álgebra, y es si al resolver un sistema de ecuaciones 3x3 mediante el método de Gauss se puede multiplicar por la fila que no voy a cambiar, ejemplo: hago F1-3F2 y F1-F3 sin alterar F1, pero luego para triangular hago 27F2-F3 ¿eso sería correcto? multiplicar por una fila que no voy a cambiar. Gracias
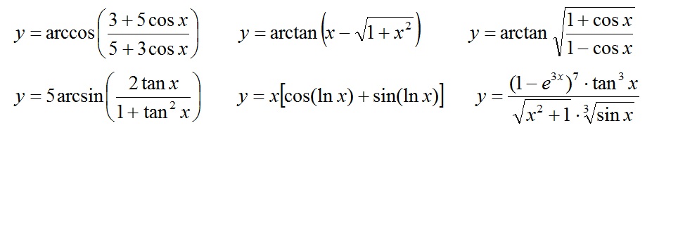
¡Buenas! ¿Podéis echarme una mano con el siguiente problema:
Optimiza f(xy) = x/y
sujeto a la restricción: x-(y^2)=1