
¡Hola! Nos encantaría ayudarte, pero no solemos responder dudas universitarias que no tengan que ver específicamente con los vídeos que David Calle ha grabado como excepción. O de otras asignaturas que no sean Matemáticas, Física y Química. Lo sentimos de corazón… Esperamos que lo entiendas.
Ojalá algún unicoo universitario se anime a ayudarte (de hecho, lo ideal es que todos los universitarios intentarais ayudaros los unos a los otros).

¡Hola! Nos encantaría ayudarte, pero no solemos responder dudas universitarias que no tengan que ver específicamente con los vídeos que David Calle ha grabado como excepción. O de otras asignaturas que no sean Matemáticas, Física y Química. Lo sentimos de corazón… Esperamos que lo entiendas.
Ojalá algún unicoo universitario se anime a ayudarte (de hecho, lo ideal es que todos los universitarios intentarais ayudaros los unos a los otros).
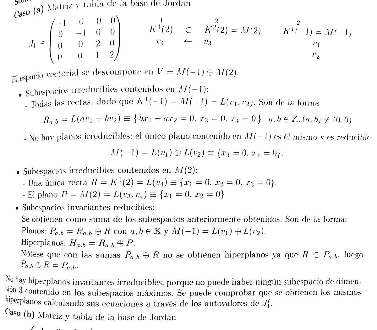
¿Podrías, por favor, ayudarme a calcular las ecuaciones de de las rectas, plano e hiperplanos dada una matriz de jordan?
Dejo un ejercicio resuelto a modo de ejemplo. Sé que las rectas invariantes corresponden a las columnas de la matriz que no son imagen de otra y los planos a las matrices 2x2 e hiperplanos a las de 3x3. Pero no sé como calcular las ecuaciones, me lío mucho y me salen otras.
Tampoco se cómo saber si son reducibles o irreducibles.
Por ejemplo me dice que la recta tiene una forma de L(av1+bv2) (en éste caso concreto. Pero no sé como saca las ecuaciones bx1-aX2=0 , X3=0 y X1=0 tal que (a,b) diferente de 0.
Espero que puedas ayudarme, he consultado a algunos profesores pero hasta ahora no conseguido entenderlo.

¡Hola! Nos encantaría ayudarte, pero no solemos responder dudas universitarias que no tengan que ver específicamente con los vídeos que David Calle ha grabado como excepción. O de otras asignaturas que no sean Matemáticas, Física y Química. Lo sentimos de corazón… Esperamos que lo entiendas.
Ojalá algún unicoo universitario se anime a ayudarte (de hecho, lo ideal es que todos los universitarios intentarais ayudaros los unos a los otros).

25)
Designa con x al precio sin impuesto, por lo que tienes que el impuesto a pagar (16 %) queda expresado: 0,16x;
luego, planteas la expresión del precio final, y tienes la ecuación:
x + 0,16x = 13,57,
y solo queda que resuelvas esta ecuación.
26)
Designa con y al recargo porcentual, por lo que tienes que el precio final es:
50 + y*50 = 50 + 13, restas 50 en ambos miembros, y queda:
y*50 = 13, divides por 40 en ambos miembros, y queda:
y = 0,26, expresas en forma porcentual, y queda:
y = 26 %.
Con respecto a los demás problemas, por favor envía foto de sus enunciados completos, porque se ven truncados en la foto que has enviado para esta consulta.
Espero haberte ayudado.