Foro de preguntas y respuestas de Matemáticas

logo beUnicoos
Los foros de unicoos se han unificado en nuestra nueva plataforma beUnicoos. Para dejar nuevas preguntas deberás hacerlo allí, donde además podrás encontrar nuevas asignaturas y herramientas para ayudarte más con tus estudios.

  • icon

    jordan seven
    el 29/7/19

    por favor ayudenme con la numero 6 gracias


    replythumb_up0 voto/sflag
    icon

    Antonius Benedictus
    el 30/7/19


    thumb_up0 voto/sflag
  • icon

    Noemi
    el 29/7/19

    El 10 y 12

    replythumb_up0 voto/sflag
    icon

    César
    el 29/7/19


    thumb_up1 voto/sflag
  • icon

    Noemi
    el 29/7/19

    25,26,27,30,32,36,36,38,40,41,42,45,46, no los entiendo 

    replythumb_up0 voto/sflag
    icon

    César
    el 29/7/19

  • icon

    Nicolas Veloso
    el 29/7/19

    Buenas, ¿Como podría resolver este ejercicio de probabilidades?

    De un grupo de 480 estudiantes, se sabe que 220 tienen habilidades de Lenguaje, 258 tienen habilidades Matemáticas, 216 tienen habilidades con idiomas extranjeros, 122 tienen habilidades en Lenguaje y Matemáticas, 83 tienen habilidades con Idiomas y Matemáticas, 97 tienen habilidades con Lenguaje y con Idiomas, 54 tienen habilidades en las tres áreas. Se elige estudiante al azar de este grupo. Determine la probabilidad de que: Tenga habilidades en Lenguaje y Matemáticas, pero no con los idiomas.

    replythumb_up0 voto/sflag
    icon

    César
    el 29/7/19


    thumb_up0 voto/sflag
  • icon

    Nicolas Veloso
    el 29/7/19

    Ayuda con este ejercicio de probabilidades.

    ¿Como lo puedo resolver?

    La edad promedio de un curso de 30 alumnos es de 12 años, con una desviación estándar de 2 años. Considerando normalidad de la variable. La probabilidad de un alumno tenga menos de cierta edad "y" es de 0.62. ¿Cual es esa edad?

    replythumb_up0 voto/sflag
    icon

    Antonius Benedictus
    el 29/7/19

  • icon

    Jose
    el 29/7/19

    )Si un romboide aumenta uno de sus lados de 3a a 6a y la altura h correspondiente a dicho lado aumenta en 4 unidades, la nueva área aumenta en

    como se puede resolver?? graciass,la respuesta es 3a(h+8)

    replythumb_up0 voto/sflag
    icon

    Antonio
    el 29/7/19

    base1=3a

    altura1=h

    A1=3ah

    base2=6a

    altura2=h+4

    A2=6a(h+4)=6ah+24a=3ah+3ah+24a=A1+3a(h+8)

    thumb_up0 voto/sflag
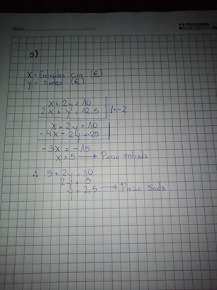
  • icon

    Noemi
    el 28/7/19

    No sé hacer el 5 ,10 y 12

    replythumb_up0 voto/sflag
    icon

    Martin
    el 29/7/19

    Aca te va la 5, podrias subir de nuevo la 10 y 12 que no se alcanza a ver todo el enunciado plz :)


    thumb_up1 voto/sflag
  • icon

    Jesús Fabián Mejía Ángel
    el 28/7/19

    Ayuda con el siguiente problema, por favor:

    Encuentra el radio del círculo en la siguiente figura, es el arco de la puerta de entrada.





    replythumb_up0 voto/sflag
    icon

    Gabriel
    el 29/7/19

    Son los 60 cm que pone que mide el arco. La altura del arco = radio, puesto que el arco es una semicircunferencia

    thumb_up0 voto/sflag
    icon

    Antonio
    el 29/7/19



    thumb_up1 voto/sflag
    icon

    Antonio
    el 29/7/19

    aplicas Pitágoras, y listo.

    thumb_up1 voto/sflag
  • Usuario eliminado
    el 28/7/19

    Primero, te he preguntado hace menos de una hora lo de los numeros complejos, ¿donde está la opción para responderte en esa misma pregunta?

    Segundo, no entiendo el sentido de esa factorización, por qué se plantea? con qué fin ha salido esa formula?

    Y mi correo es gerardox2002@gmail.com . Si me pudieras explicar también qué es el delta de Kronecker estaría muy agradecido, ya que es otra de mis preguntas y no encuentro una explicación en español. ¡Muchas gracias!


    replythumb_up0 voto/sflag
    icon

    Antonius Benedictus
    el 28/7/19

    Ya sabes que si un polinomio de grado n tiene "n" raíces, entonces se puede factorizar como a(x-r_1)(x-r_2)...(x-r_n), siendo a el coeficiente del término de mayor grado.

    thumb_up1 voto/sflag
    icon

    Antonius Benedictus
    el 28/7/19


    thumb_up1 voto/sflag
  • icon

    Noemi
    el 28/7/19


    replythumb_up0 voto/sflag
    icon

    Martin
    el 29/7/19


    thumb_up1 voto/sflag