Hola, necesito una ayuda para discutir un sistema.
Necesito saberlo resolverlo. Con Rouché y Gauss Jordan he conseguido sacar k y decir cuando es SCI o SCD, pero de ahí no paso.

Si nos envías todo lo que hiciste paso a paso, esté bien o mal.. Por otro lado no dices que necesitas ¿resolverlo en los casos que sea posible?...
Cuando sea SCD deberás aplicar CRAMER...Sistema de ecuaciones - Metodo de CRAMER
Cuando sea SCI.... Resolver sistema SCD y SCI
Hola, buenas tardes a todos.
Necesito saber cuál es la derivada de x/e^x y su segunda derivada
y hallar sus puntos de inflexión, porque me da que tiene un punto de inflexión en x=2 pero no sé si lo hice bien gracias.
Hola Unicoos!! podrían ayudarme a resolver este ejercicio? me parece que lo que estoy haciendo está mal..usé las dos ecuaciones de cada recta, reemplazo las paramétricas de r1 en las simétricas de r2 para obtener el valor de alfa, pero al haber una incógnita "a" , no sé cómo continuarlo para poder obtener los dos valores y así poder encontrar el punto de intersección. Se agradece la ayuda!
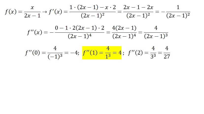
Hola buenas tardes a todos.
me estoy preparando para el acceso a la uni para mayores de 25 años y hay un problema de matematicas que me tiene loco..a ver si me podeis echar una mano
El enunciado dice asi:
"La derivada segunda de la función f(x) = x/(2x-1) cumple:
a) f"(0) = 2
b) f"(1)= 4
c) f" (2)=4/3
he hecho la primera derivada con la formula de los cocientes y me sale:
-1/4x(al cuadrado)-4x+1
cuando hago la derivada segunda no me sale nada de eso..
he probado con una formula que me he encontrado para hacer una derivada cualquiera directamente y nada..
siento poner asi la formula pero tengo en el portatil un teclado en aleman y no hay quien se entere ;)
Hola!, podeis decirme cual es la formula de la derivada de una fraccion?
Creo que es derivada de lo de arriba por la de abajo sin derivar menos lo de arriba sin derivar por la derivada de lo de abajo entre la de abajo sin derivar al cuadrado. Nose si es asi
Lo de arriba= es el numerador
Lo de abajo= es el denominador
Hola Unicoos.
Necesitaría una ayudita con el ejercicio número 3. Si me lo pudiesen explicar en un vídeo se lo agradecería muchísimo, ya que tengo la recuperación de este tema y esto es lo que más trabajo me cuesta de entender.
(P.D.: El ejercicio no se puede hacer con calculadora)
Muchas gracias por adelantado :)
Necesito ayuda con las integrales triples. Se me pide primero dibujar el cono x^2+y^2=3z^2 y el cilindro x^2+y^2=4y. Eso ya lo he hecho, pero ahora viene lo que me cuesta y no se hacer.
Calcular la superficie entre las dos figuras mediante integrales triples. No se si me conviene hacerlo con coordenadas cartesianas o con las cilíndricas (por el nombre supongo que me conviene utilizar las segundas).
Al transformar las ecuaciones a las coordenadas cilíndricas consigo r^2=3z^2 y r^2=4*r*sen(theta).
Como puedo seguir ahora y sacar los limites de integración? Diría que theta va de -pi/2 a pi/2 y r de 0 a 4, pero no lo tengo claro.