Foro de preguntas y respuestas de Matemáticas

logo beUnicoos
Los foros de unicoos se han unificado en nuestra nueva plataforma beUnicoos. Para dejar nuevas preguntas deberás hacerlo allí, donde además podrás encontrar nuevas asignaturas y herramientas para ayudarte más con tus estudios.

  • icon

    gregorio
    el 21/4/16

    hola como hago para resolver lo siguiente |B^-1 * 2^-1 * C^2| sabiendo que detA=3, det B=-2 y C es la matriz que puse.. no me sale porque c es de 4x3 y se que hay 2 filas proporcionales, pero no me sale!

    replythumb_up0 voto/sflag
    icon

    Antonius Benedictus
    el 21/4/16

    Pon foto del enunciado original completo, Gregorio.

    thumb_up0 voto/sflag
    icon

    gregorio
    el 21/4/16

    el enunciado dice

    thumb_up0 voto/sflag
    icon

    gregorio
    el 21/4/16

    anteriormente agregue el dato de A pero en este ejercicio no lo necesito. C es una matriz de 4x3

    thumb_up0 voto/sflag
    icon

    Antonius Benedictus
    el 21/4/16

    No se puede calcular el cuadrado de una matriz si ésta no es cuadrada. C^2 no existe para C matriz 4x3.

    thumb_up0 voto/sflag
  • icon

    Erik
    el 21/4/16

    Hola tengo una duda con este ejercicio. Ya que la respuesta me dice que me tiene que quedar +infinito pero eso solamente me da si al abrir el módulo la función me quedaría tendiendo a -infinito en vez de a +infinito. Puede ser que eso pase ? O en qué le estoy errando?

    replythumb_up0 voto/sflag
    icon

    César
    el 21/4/16

    cuidado con ese valor absoluto

    thumb_up0 voto/sflag
  • icon

    John
    el 21/4/16

    hola,una ayuda con los dominios de estas funciones porfavor

    replythumb_up0 voto/sflag
    icon

    gregorio
    el 21/4/16

    creo que
    a) domf =[-2;2]
    b) domg=R-{1}

    thumb_up1 voto/sflag
  • icon

    Mila Alvarado
    el 21/4/16

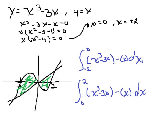
    me pueden ayudar? en la primera integral que va de -2 a 0 me da 4
    pero la integral de 0 a 2 me da -4 y se que el area no puede se negativa
    pero no entiendo por que me da asi

    replythumb_up0 voto/sflag
    icon

    Hugo
    el 21/4/16

    Fijate que entre 0 y 2 la funcion que esta por arriba es y=x y la de debajo es y=x³-3x

    thumb_up0 voto/sflag
    icon

    Francisco Gutiérrez Mora
    el 21/4/16

    Mila, a ver si te sirve lo que he hecho. Un Saludo.

    thumb_up0 voto/sflag
  • icon

    leo
    el 21/4/16
    flag

    Buenas, tengo este ejercicio de estadistica para resolver: " Para una distribucion normal, un valor que se encuentra a una desviacion estandar por debajo de la media, estara mas cercano a cual de las siguientes medidas: tercer percentil, primer cuartil o decimoseptimo percentil ? justifique graficamente

    replythumb_up0 voto/sflag
    icon

    Antonius Benedictus
    el 21/4/16

    Va, Leo:

    thumb_up0 voto/sflag
  • icon

    yeyo
    el 21/4/16

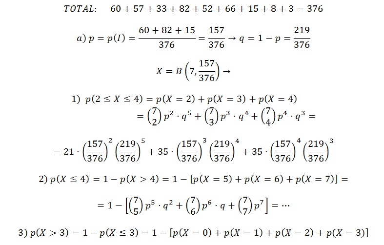
    hola....quisiera saber, como resolver este problema de probabilidad binomial? ya me he quebrado la cabeza casi toda la mañana y no he podido armarlo. gracias!!!!!

    replythumb_up0 voto/sflag
    icon

    Antonius Benedictus
    el 21/4/16

    Yeyo, te mandamos la primera parte. Todo lo demás es parecido:

    thumb_up0 voto/sflag
  • icon

    Gaussiano
    el 21/4/16

    Hoola! ¿Me echan un cable con este ejercicio de áreas de integrales? Gracias!

    replythumb_up0 voto/sflag
    icon

    Jaykel
    el 21/4/16

    aquí esta revisa los calculos

    thumb_up1 voto/sflag
    icon

    Jaykel
    el 21/4/16

    Aquí esta una ilustración de lo que intente hacer, espero y te ayude

    thumb_up1 voto/sflag
    icon

    Gaussiano
    el 21/4/16

    Muchas gracias Jaykel

    thumb_up0 voto/sflag
  • icon

    Facundo
    el 20/4/16

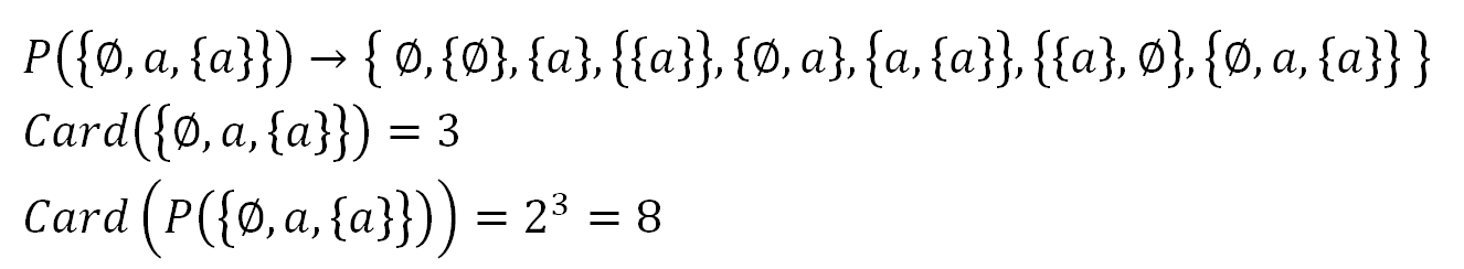
    Hola a todos, tengo una duda de conjuntos. Este ejercicio me dice Indicar el numero de elmentos de:

    P({∅,a,{a}})

    Sea P el conjunto de partes o conjunto potencia

    Esta bien que ponga que es = (∅,{∅},{a},{∅,a})?? Se que si el numero de elemento de A es igual a n, entonces el conjunto de partes es 2^n, pero ese {a} seria un subconjunto de un elemento del conjunto no? Tengo dudas con eso.. Muchas gracias!

    replythumb_up0 voto/sflag
    icon

    Hugo
    el 21/4/16

    {a} es un elemento, hay 3 elementos, luego el conjunto de partes tendrá 8 elementos.

    Recuerda que vació es subconjunto de todo conjunto y que todo conjunto es subconjunto de si mismo.

    thumb_up0 voto/sflag
  • icon

    sabrina
    el 20/4/16

    hola pues alguien me puede chekear que la ecuación es la correcta ya que me da un radio 16,8 y para mi pues es muy grande (x-3)´¨2+(y+3)¨2=16,8 me dio la ecuación

    replythumb_up0 voto/sflag
    icon

    César
    el 21/4/16

    Como has calculado el radio?
    R=d (CP)=√(3-2)²+(-3-1)²=√17

    thumb_up0 voto/sflag
  • icon

    YANET
    el 20/4/16

    ME PUEDEN AYUDAR A COMPRENDER EN QUE ME ESTOY EQUIVOCANDO, ES QUE NO ME DA LO MISMO QUE EL RESULTADO QUE TRAE EL LIBRO GRACIAS.

    Dados los sucesos A y B, y sabiendo que

    P(A) = 3/4

    P(B) = 1/8

    P(A ∩ B) = 1/10

    calcular:

    a) P(A|B); b) P(A|B ) ; c) P(A ∪ B)



    a) por la definición de condicionada

    P(A|B) = P(A ∩ B)/P(B) = 1/10 /1/8 =2/5 (esto a mi me da 4/5)no entiendo de donde sale el 2/5 porque es una división entre fracciones de diferente denominador y se multiplica 1/10 por 8/1 ?

    ESTE EJERCICIO ES UN EJEMPLO QUE ME TRAE EL LIBRO PERO CUANDO LO HICE Y QUISE COMPROBAR EL RESULTADO ME DA DIFERENTE Y LO HICE

    VARIAS VECES EN QUE ME ESTOY EQUIVOCANDO? O SE EQUIVOCA MI LIBRO GRACIAS.

    EN LUGAR DE DARME 2/5 ME DA 4/5 Y CLARO LA b TAMBIÉN POR LÓGICA ME DA DIFERENTE.

    b

    replythumb_up0 voto/sflag
    icon

    Antonius Benedictus
    el 21/4/16

    Los siolucionarios de los libros suelen tener erratas. Es correcto que 1/10 : 1/8 =4/5

    thumb_up1 voto/sflag