
6)
Aquí debes armarte de paciencia, y espero te resulte útil este desarrollo.
Comienzas por descomponer a 2520 como multiplicación de potencias de números naturales primos, y queda:
2520 = 23*32*5*7.
Luego, observa que para obtener un cuadrado perfecto, debes lograr que los exponentes de los factores sean todos números naturales pares, por lo que tienes que debes agregar, como mínimo, a los factores 21, 51 y 71, por lo que tienes que
el primer cuadrado perfecto, debes multiplicar a 2520 por: n1 = 2*5*7 = 70, y queda:
x1 = 24*32*52*72 = (22*3*5*7)2 = (420)2.
luego, observa que, además de los tres factores que hemos consignado, puedes agregar al desarrollo del número consignado x1:
potencias de dos con exponentes pares: 22, 24, 26, (4. 16. 64), etc; o
potencias de tres con exponentes pares: 32, 34, 36 (9, 81, 729), etc; o
potencias de cinco con exponentes pares: 52, 54, 56 (25, 625, 15625), etc; o
potencias de siete con exponentes pares: 72, 74, 76 (49, 2401, 117649), etc;
y observa que si ordenas en forma creciente a todas las posibles potencias que hemos considerado, junto con las posibles multiplicaciones entre ellas, queda que la secuencia comienza:
4, 9, 16, 25, 36, 81, etc, que al expresar a estas cantidades como multiplicación de potencias de números naturales primos, queda:
22, 32, 24, 52, 22*32, 34, etc.
Luego, observa que para obtener el segundo cuadrado perfecto, debes multiplicar a 2520 por: n2 = 23*5*7 = 280, y queda:
x2 = 26*32*52*72 = (23*3*5*7)2 = (840)2 (observa que hemos multiplicado al primer cuadrado perfecto por 22 = 4).
Luego, observa que para obtener el tercer cuadrado perfecto, debes multiplicar a 2520 por: n3 = 2*32*5*7 = 630, y queda:
x3 = 24*34*52*72 = (22*32*5*7)2 = (1260)2 (observa que hemos multiplicado al primer cuadrado perfecto por 32 = 9).
Luego, observa que para obtener el cuarto cuadrado perfecto, debes multiplicar a 2520 por: n4 = 25*5*7 = 1120, y queda:
x4 = 28*32*52*72 = (24*3*5*7)2 = (1680)2 (observa que hemos multiplicado al primer cuadrado perfecto por 24 = 16).
Luego, observa que para obtener el quinto cuadrado perfecto, debes multiplicar a 2520 por: n5 = 2*53*7 = 1750, y queda:
x5 = 24*32*54*72 = (22*3*52*7)2 = (2100)2 (observa que hemos multiplicado al primer cuadrado perfecto por 52 = 25).
Luego, observa que para obtener el sexto cuadrado perfecto, debes multiplicar a 2520 por: n6 = 2*5*73 = 3430, y queda:
x6 = 26*34*52*72 = (23*32*5*7)2 = (2520)2 (observa que hemos multiplicado al primer cuadrado perfecto por 22 *32 = 36).
Espero haberte ayudado.

7)
Observa que si los tres números naturales son cuadrados perfectos, entonces tienes que los exponentes de sus factores primos deben ser múltiplos de dos.
Observa que si los tres números naturales son cubos perfectos, entonces tienes que los exponentes de sus factores primos deben ser múltiplos de tres.
Por lo tanto, observa que para que se cumplan las dos condiciones anteriores, debes tener que los exponentes de los factores primos deben ser múltiplos de 6.
Luego, tienes que los tres primeros números naturales buscados son:
16 = 1,
26 = 64,
36 = 729.
Espero haberte ayudado.

8)
Planteas los desarrollos como multiplicaciones de potencias de números naturales primos de 25, 45 y 48, y queda:
25 = 52,
45 = 32*51,
48 = 24*31;
y observa que la expresión de su Mínimo Múltiplo Común es:
M = 24*32*52 = (22*3*5)2 = 602 = 3600,
y como tienes que este número natural es un cuadrado perfecto, entonces tienes que el primer número natural buscado es: n1 = 60.
Luego, puedes agregar potencias de números naturales con exponentes pares al desarrollo del número consignado M, y la menor de ellas es 22 = 4, por lo que queda:
N = 22 * M = 22 * 24*32*52 = 26*32*52 = (23*3*5)2 = 1202 = 14400,
y como tienes que este número natural es un cuadrado perfecto, entonces tienes que el segundo número natural buscado es: n2 = 120.
Espero haberte ayudado.

9)
Tienes que la expresión (a+1) divide a la expresión:
A = 2a2 + 9 (1);
luego, sumas y restas 4a, y sumas y restas 2 en el segundo miembro de la ecuación señalada (1), y queda:
A = 2a2 + 4a - 4a + 2 - 2 + 9, ordenas términos, extraes factor común entre los términos remarcados, reduces términos numéricos, y queda:
A = 2(a2 + 2a + 1) - 4a + 7, factorizas el trinomio cuadrado perfecto en el agrupamiento, restas y sumas 4 en el segundo miembro, y queda:
A = 2(a + 1)2- 4a - 4 + 4 + 7, extraes factor común entre los términos remarcados, reduces términos numéricos, y queda:
A = 2(a + 1)2 - 4(a + 1) + 11 (2).
Luego, observa que los dos primeros términos de la expresión señalada (2) son divisibles por (a+1), por lo que debe cumplirse que (a+1) debe ser divisor de 11 para que la expresión señalada (1) sea a su vez divisible por 11;
luego, como tienes que 11 es un número primo, tienes que sus cuatro divisores son: -11, -1, 1 y 11, por lo que tienes cuatro opciones:
1º)
a + 1 = -11, de aquí despejas: a = -12, y al reemplazar este valor en la expresión señalada (1) queda:
A = 297, y observa que esta cantidad es divisible por a+1 = -11;
2º)
a + 1 = -1, de aquí despejas: a = -2, y al reemplazar este valor en la expresión señalada (1) queda:
A = 17, y observa que esta cantidad es divisible por a+1 = -1;
3º)
a + 1 = 1, de aquí despejas: a = 0, y al reemplazar este valor en la expresión señalada (1) queda:
A = 9, y observa que esta cantidad es divisible por a+1 = 1;
4º)
a + 1 = 11, de aquí despejas: a = 10, y al reemplazar este valor en la expresión señalada (1) queda:
A = 209, y observa que esta cantidad es divisible por a+1 = 11.
Espero haberte ayudado.

10)
Observa que tienes en tu enunciado que el resto de la división del número entero a entre 5 es 2, por lo que puedes plantear que existe un número entero k tal que la expresión del número entero a queda:
a = 5k + 2 (1).
Luego, tienes la expresión:
x = 3a - 7, sustituyes la expresión señalada (1), y queda:
x = 3(5k + 2) - 7, distribuyes el primer término de la expresión, y queda:
x = 15k + 6 - 7, reduces términos numéricos, y queda:
x = 15k - 1, aquí restas 5 y sumas 5, y queda:
x = 15k - 5 + 5 - 1, extraes factor común entre los dos primeros términos, reduces los dos últimos términos, y queda:
x = 5(3k - 1) + 4,
y por el Algoritmo de Euclides, tienes que el valor remarcado es el resto de dividir la expresión: x = 3a - 7 entre 5.
Luego, tienes la expresión:
y = 2a2 + 9, sustituyes la expresión señalada (1), y queda:
y = 2(5k + 2)2 + 9, desarrollas el binomio elevado al cuadrado y distribuyes en el primer término de la expresión, y queda:
y = 50k2 + 40k + 8 + 9, reduces términos numéricos, y queda:
y = 50k2 + 40k + 17, aquí sumas 10 y restas 10, y queda:
y = 50k2 + 40k + 10 -10 + 17, extraes factor común (10) entre los dos primeros términos, reduces los dos últimos términos, y queda:
y = 10(5k2 + 4k) + 7,
y por el Algoritmo de Euclides, tienes que el valor remarcado es el resto de dividir la expresión: y = 2a2 + 9 entre 10.
Espero haberte ayudado.

Te aconsejo que intentes, por tu cuenta, la demostración de dicha fórmula. Con un poco de ingenio, se puede obtener fácilmente. Te dejo como pista que supongas una recta que pasa por dos puntos distintos (a,b); (c,d) y que, a continuación, plantees un sistema de ecuaciones para poder encuentra la fórmula de dicha recta.
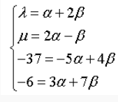
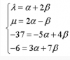
Buenas días ando un poco perdido, no se como resolver este problema si alguien me puede ayudar se lo agradecería.
Tiene que dar a = 5, B = -3, landa = -1 y mu = 13. Gracias de antemano.
Buenas alguien me puede echar una mano?
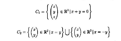
(Diria que C2 es subespacio)
Decir si son o no subespacios vectoriales los siguientes subconjuntos.