por favor me puede ayuda con la matriz inversa :
X + A = 0 es:
a) A B)-A C9 NO SE PUEDE
(B + X) = A es:
a)A-B B) B-A C) no se puede
X + AB = BA es:
a) 0 b) BA-AB C) no se puede

Se trata de que DESPUES DE IR A CLASE (ver los vídeos relacionados con vuestras dudas) enviéis dudas concretas, muy concretas. Y que nos enviéis siempre también todo aquello que hayais conseguido hacer por vosotros mismos. Paso a paso, esté bien o mal. No solo el enunciado. De esa manera podremos saber vuestro nivel, en que podemos ayudaros, cuales son vuestros fallos.... Y el trabajo duro será el vuestro.
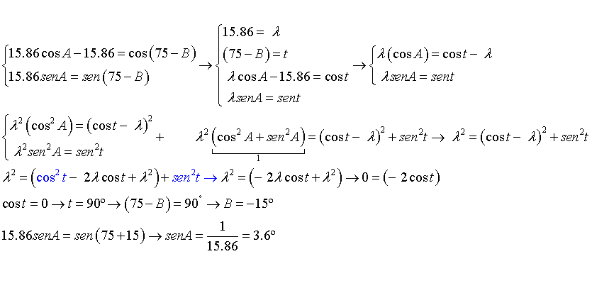
Una escalera de bomberos que mide 25m está apoyada sobre la fachada de un hotel y forma con el suelo un ángulo de 75º. Si cada planta del hotel mide 2,5m de alto. ¿A qué planta llegará como máximo?
Alguien que sepa hacerlo por favor....
Hola Buenas tardes podrían decirme si la siguiente actividades está bien hecha? gracias.
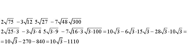
2√75 -3√12 5√27 -7√48 √300
2√3 x 52 -3√22 x 3 mas 5 √33 -7√24 x 3 mas√22 x 3 x 52
2x5√3 - 3 x 2√3 mas 5 x 3√3 -7 x 22 √3 mas 2 x 5√3
10√3 - 6√3 mas 15√3 -28√3 mas 10√3= 1√3
Un saludo!
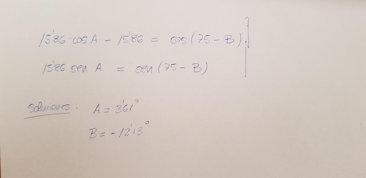
Buenas noches a todos, tengo una duda o error de concepto, mí profesora nos dijo que si sacabamos el arcseno de -4/5 nos daba un ángulo del 4 cuadrante pero en realidad es del tercero, ahora yo lo hice y me da -53 grados, ella dice que la calculadora no sirve para sacar la inversa del seno, ahora yo hice 180-&=-53 &=180+53 &=233, esta bien? Porque mí profesora dice que el arcseno-4/5 da un ángulo del 4 c? Muchas gracias
El ejercicio debe dar las suficientes pistas como para saber ubicar al ángulo, ten en cuenta que a efectos de cálculo no importa donde esté, ya que el valor es el mismo -4/5.
Las calculadoras reducen los ángulos al I y IV cuadrante, pasa lo mismo con arcsen(√3/2)=120º ó arcsen(√3/2)=60º la calculadora te dará I cuadrante

matriz inversa
La solución de X + A = 0 es:
a) A B) -A C) NO SE PUEDE
cual es la respuesta correcta la opción a, b o c
matriz inversa
La solución de (B + X) = A es:
a) A-B b) B-A C) NO SE PUEDE
Cual es la respuesta correcta la opción a, b o c

Se trata de que DESPUES DE IR A CLASE (ver los vídeos relacionados con vuestras dudas) enviéis dudas concretas, muy concretas. Y que nos enviéis siempre también todo aquello que hayais conseguido hacer por vosotros mismos. Paso a paso, esté bien o mal. No solo el enunciado. De esa manera podremos saber vuestro nivel, en que podemos ayudaros, cuales son vuestros fallos.... Y el trabajo duro será el vuestro.
matriz inversa
La solución de X + AB = BA es:
a)0 b)BA-AB C) No se puede
CUAL ES LA RESPUESTA CORRECTA DE la opciones A, B O C

Se trata de que DESPUES DE IR A CLASE (ver los vídeos relacionados con vuestras dudas) enviéis dudas concretas, muy concretas. Y que nos enviéis siempre también todo aquello que hayais conseguido hacer por vosotros mismos. Paso a paso, esté bien o mal. No solo el enunciado. De esa manera podremos saber vuestro nivel, en que podemos ayudaros, cuales son vuestros fallos.... Y el trabajo duro será el vuestro.