Buenas noches, una ayuda con este ejercicio. Ya que de aquí se derivan otros.
Saludos
En un lote de 10 libros se tienen 4 de física y 6 de matemáticas. Si 4 de tales de libros
se ordenan aleatoriamente en un librero, calcule la probabilidad de que ocurra que:
a) el primero sea un libro de matemáticas
b) los 2 primeros sean libros de matemáticas y los otros 2 de física
c) los 2 primeros sean de matemáticas
d) los 2 primeros sean de igual asignatura

Se trata de que DESPUES DE IR A CLASE (ver los vídeos relacionados con vuestras dudas) enviéis dudas concretas, muy concretas. Y que nos enviéis siempre también todo aquello que hayais conseguido hacer por vosotros mismos. Paso a paso, esté bien o mal. No solo el enunciado. De esa manera podremos saber vuestro nivel, en que podemos ayudaros, cuales son vuestros fallos.... Y el trabajo duro será el vuestro.
por favor podeian explicarme este problema de espacios Vectoriales, solo me falta el primero por favor ![]()

Se trata de que DESPUES DE IR A CLASE (ver los vídeos relacionados con vuestras dudas) enviéis dudas concretas, muy concretas. Y que nos enviéis siempre también todo aquello que hayais conseguido hacer por vosotros mismos. Paso a paso, esté bien o mal. No solo el enunciado. De esa manera podremos saber vuestro nivel, en que podemos ayudaros, cuales son vuestros fallos.... Y el trabajo duro será el vuestro.

Se trata de que DESPUES DE IR A CLASE (ver los vídeos relacionados con vuestras dudas) enviéis dudas concretas, muy concretas. Y que nos enviéis siempre también todo aquello que hayais conseguido hacer por vosotros mismos. Paso a paso, esté bien o mal. No solo el enunciado. De esa manera podremos saber vuestro nivel, en que podemos ayudaros, cuales son vuestros fallos.... Y el trabajo duro será el vuestro.
Hola.
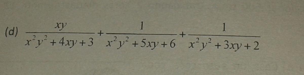
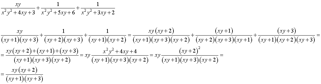
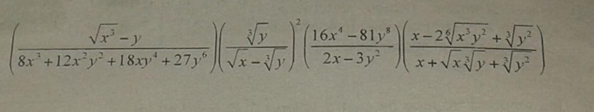
Alguien que porfavor me explique como resuelvo estos puntos.
Ayuden esta pobre alma a salvar el semestre.

Se trata de que DESPUES DE IR A CLASE (ver los vídeos relacionados con vuestras dudas) enviéis dudas concretas, muy concretas. Y que nos enviéis siempre también todo aquello que hayais conseguido hacer por vosotros mismos. Paso a paso, esté bien o mal. No solo el enunciado. De esa manera podremos saber vuestro nivel, en que podemos ayudaros, cuales son vuestros fallos.... Y el trabajo duro será el vuestro.
Hola buenas tardes unicoos, alguien me puede ayudar con éstos 2 ejercicios, muchas gracias
1. Un ángulo diedro tiene una amplitud de 55º 30'. ¿Cuánto medirá su ángulo diedro complementario?
2. Dibuja un octaedro regular y su desarrollo plano. Indica el número de caras aristas y vértices que tiene, y comprueba que verifica el teorema de Euler.