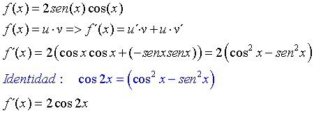
Hola! esta es la respuesta del n°1. En este caso para sacar la asíntota horizontal utilicé el límite de la función cuándo esta tiende a infinito. Puedes ver este proceso en indeterminaciones infinito entre infinito o asíntotas en Youtube, canal Unicoos. Si es que no conoces ese proceso. Sino también está el más sencillo, cuando tienes dos términos en el numerador y dos en el denominador, a+-b/c+-d y le asignas a 2 el valor de a, a -3 el valor de b, a 5 el valor de c y a -x el valor de d. Luego divides a/d (2/-1) = -2 y llegas a la misma asíntota horizontal. Pero como no siempre las funciones racionales se presentan de la forma, a+-b/c+-d, conviene saberse también la forma de sacarlo por límite al infinito. Y recuerda que si existe asíntota horizontal, no existe oblicua, y viceberza.
Edit: Puse sin querer que n/0 = 0, en realidad es = a infinito.
Quise colocar la propiedad de que un número dividido por infinito, nos da siempre cero, a tener en cuenta para este tipo de ejercicios. Solución del ejercicio 2, mismo procedimiento, siendo una función módulo aunque parezca racional.


¡Hola! Nos encantaría ayudarte, pero no solemos responder dudas universitarias que no tengan que ver específicamente con los vídeos que David Calle ha grabado como excepción. O de otras asignaturas que no sean Matemáticas, Física y Química. Lo sentimos de corazón… Esperamos que lo entiendas.
Ojalá algún unicoo universitario se anime a ayudarte (de hecho, lo ideal es que todos los universitarios intentarais ayudaros los unos a los otros).

Tienes la expresión de la función vectorial de posición de los puntos de la hélice:
f(t) = < cost , sent , t > (1),
con: 0 ≤ t ≤ π/2;
cuya función derivada queda expresada:
f ' (t) = < -sent , cost , 1 > (2),
con: 0 < t < π/2.
Luego, evalúas la expresión de la función de posición señalada (1) para los valores extremos de su dominio, y queda:
f(0) = < 1 , 0 , 0 >, por lo que tienes el punto: A(1,0,0),
f(π/2) = < 0 , 1 , π/2 >, por lo que tienes el punto: B(0,1,π/2);
luego, planteas la expresión de un vector director de la cuerda AB, y queda:
u = AB = < 0-1 , 1-0 , π/2-0 > = < -1 , 1 , π/2 > (3).
Luego, planteas la condición de paralelismo entre el vector tangente y la cuerda AB (el producto vectorial de la función derivada por el vector director de la cuerda es igual al vector nulo), y queda:
f ' (t) x u = < 0 , 0 , 0 >, sustituyes las expresiones señaladas (2) (3), y queda:
< -sent , cost , 1 > x < -1 , 1 , π/2 > = < 0 , 0 , 0 >, resuelves el producto vectorial en el primer miembro, y queda:
< (π/2)cost-1 , -1+(π/2)sent , -sent+cost > = < 0 , 0 , 0 >;
luego, por igualdad entre expresiones vectoriales, igualas componente a componente, y queda el sistema de tres ecuaciones con una incógnita:
(π/2)cost - 1 = 0 (4),
-1 + (π/2)sent = 0 (5),
-sent + cost = 0 (6);
luego, restas cost en ambos miembros de la ecuación señalada (6), y queda:
-sent = -cost, divides en ambos miembros por cost, aplicas la identidad trigonométrica de la tangente, y queda:
tant = 1, compones en ambos miembros con la función inversa de la tangente, y queda:
t = π/4, que es el único valor posible que pertenece al dominio de la función posición;
luego, reemplazas este último valor en las ecuación señalada (4), y queda:
(π/2)cos(π/4) - 1 = 0, resuelves el primer miembro, y queda:
0,111 ≅ 0, que es una Identidad Falsa, por lo que puedes concluir que no existe un valor del parámetro t que sea solución del sistema formado por las ecuaciones señaladas (4) (5) (6) y, por lo tanto, no existe un valor del parámetro t para el cuál el vector tangente a la hélice sea paralelo al vector director de la cuerda que une los puntos A y B.
Espero haberte ayudado.
Hola, tengo problemas para resolver este ejercicio, ¿Cómo se haría la covarianza y el coeficiente de correlación? Están las soluciones, pero quiero saber el desarrollo del ejercicio para ver como se hace. Gracias.
Hola,
estoy con este ejercicio y me esta volviendo loco.
Podéis ayudarme a plantearlo.
El esquema de la figura representa una res de repetidores en la que los datos se transmiten según la dirección y sentido marcados. Después de analizar un histórico de datos, se ha conseguido obtener información sobre la cantidad media , en MB Hora, de datos que se reciben o se envían desde cada nodo.
a) (2 puntos) Suponiendo una condición de equilibrio sobre el
flujo de datos que atraviesa cada nodo (es decir, el flujo de datos que entra
en cada nodo coincide con el flujo total de datos que sale de cada nodo)
plantead, discutid y resolved el correspondiente sistema de ecuaciones.
b) (2 puntos) Cual debe ser el flujo de datos si, en un cierto momento, E deja de funcionar y el flujo de datos entra entre C y F es de 9000 MB.
Gracias

se trata de que DESPUES DE IR A CLASE (ver los vídeos relacionados con
vuestras dudas) enviéis dudas concretas, muy concretas. Y que nos enviéis
también todo aquello que hayais conseguido hacer por vosotros mismos. Paso a
paso, esté bien o mal. No solo el enunciado. De esa manera podremos saber
vuestro nivel, en que podemos ayudaros, cuales son vuestros fallos.... Y el
trabajo duro será el vuestro. Nos cuentas ¿ok? #nosvemosenclase ;-)
Hola me podrían decir como se ha esta act porfa :
El área de un rombo es 243 cm2. Si una diagonal mide 9cm,¿cuánto mide la otra diagonal?
La probabilidad que un bus de la EMT de Palma tenga un accidente en un día nublado es de 0,09 y en un dia soleado 0.005. Durante un periodo de 10 dias, 7 dias han sido de sol y 3 nublados. Sabiendo que se ha producido un accidente en estos dias, encuentra la probabilidad de que haya sido un dia de sol. Gracias!!
tenemos que:
P(A/N)=0'09
P(A/S)=0'005
P(S)=7/10
P(N)=3/10
se pide:
P(S/A)=...
aplicando el teorema de Bayes
...=[P(A/S)·P(S)]/P(A)=...
además, aplicando el teorema de la probabilidad total, tenemos que:
P(A)=P(A/N)·P(N)+P(A/S)·P(S)=0'09·3/10+0'005·7/10
por lo tanto:
...=[0'005·7/10]/(0'09·3/10+0'005·7/10)=0'114