Foro de preguntas y respuestas de Matemáticas

logo beUnicoos
Los foros de unicoos se han unificado en nuestra nueva plataforma beUnicoos. Para dejar nuevas preguntas deberás hacerlo allí, donde además podrás encontrar nuevas asignaturas y herramientas para ayudarte más con tus estudios.

  • icon

    Cristina Iglesias
    el 5/5/19

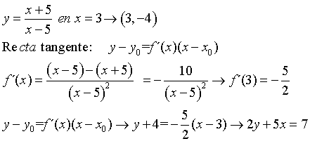
    Halla la ecuacion a la recta tangente a 


    y=x+5/x-5 en x=3 


    No soy capaz de resolverlo si alguien me lo resuelve se lo agradezco mucho 

    replythumb_up0 voto/sflag
    icon

    César
    el 5/5/19


    thumb_up0 voto/sflag
  • icon

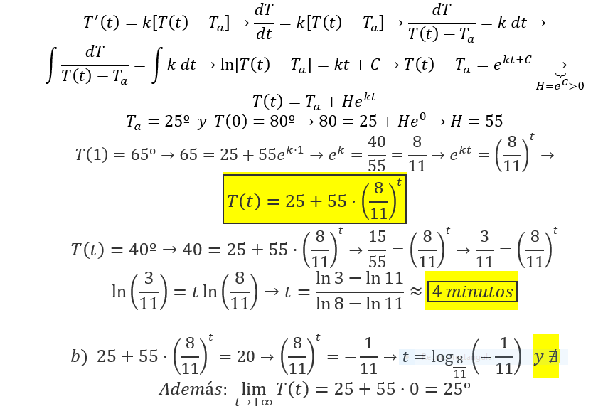
    Chema
    el 5/5/19

    Hola, necesito ayuda con este problema de ecuaciones diferenciales, es muy importante. Gracias.

    replythumb_up1 voto/sflag
    icon

    Antonius Benedictus
    el 5/5/19


    thumb_up1 voto/sflag
  • icon

    Mary Poppins
    el 5/5/19

    ¿Me podrían ayudar con este problema de combinatoria?

    Álvaro y Javier juegan un torneo de billar que ganará el que consiga 2 partidas seguidas o 3 alternas. ¿Cuáles son los posibles desarrollos del torneo?

    Gracias de antemano.


    replythumb_up1 voto/sflag
    icon

    César
    el 5/5/19



    thumb_up1 voto/sflag
    icon

    Mary Poppins
    el 5/5/19

    ¡Muchas gracias!

    thumb_up0 voto/sflag
  • icon

    d tavare
    el 5/5/19

    Hola., por favor me podeis dar una revisión? en el 2. tengo que multiplicar la ecuación por 3? y en el 3. está bien √40 ? o cómo se calcula el segmento de recta?



    replythumb_up0 voto/sflag
    icon

    César
    el 5/5/19


    thumb_up0 voto/sflag
  • icon

    Antonio Del Rio Sancho
    el 5/5/19

    Buenas noches, no consigo sacar este ejercicio. Podrían ayudarme?

    replythumb_up0 voto/sflag
    icon

    César
    el 5/5/19


    thumb_up1 voto/sflag
  • icon

    Sibisse
    el 4/5/19


    ¡Hola!

    Necestio ayuda con este problema. La primera parte del problema esta hecha. Envío la parte donde no sé si estará bien y que necesito completar. Necesito saber que porcentaje de la presa disminuyó en octubre, qué porcentaje aumentó en noviembre y diciembre. Además, tendría que hacer una representación gráfcia, pero los denominadores no son iguales. Así que no sé si hay algo que ha fallado, o cómo podría hacerlo. Gracias

    Un saludo

    replythumb_up1 voto/sflag
    icon

    César
    el 5/5/19


    thumb_up0 voto/sflag
  • icon

    Daniel
    el 4/5/19

    Me podéis ayudar con estos cuatro ejercicios, gracias


    replythumb_up0 voto/sflag
    icon

    César
    el 5/5/19


    thumb_up0 voto/sflag
  • icon

    Adela
    el 4/5/19

    Necesito demostrar que un número real y su inverso siempre son del mismo signo! Ya sea está oración correcta o incorrecta ayuda! 

    replythumb_up0 voto/sflag
    icon

    César
    el 5/5/19

    Sabemos que el producto de un número real y su inverso nos dará el elemento neutro del producto

    a(1/a)=1, para que esto suceda ambos deben tener el mismo signo.

    thumb_up0 voto/sflag
  • icon

    XIME
    el 4/5/19

    Como puedo demostrar que no existe ningún número entero para cual su inverso sea entero ? 

    replythumb_up0 voto/sflag
    icon

    Antonius Benedictus
    el 4/5/19

    Sí existen:  el 1 y el -1.

    thumb_up0 voto/sflag
  • icon

    Blanca G
    el 4/5/19

    Hola, me pueden ayudar con la segunda parte de este ejercicio

    gracias


    replythumb_up0 voto/sflag
    icon

    César
    el 4/5/19


    thumb_up0 voto/sflag