Foro de preguntas y respuestas de Matemáticas

logo beUnicoos
Los foros de unicoos se han unificado en nuestra nueva plataforma beUnicoos. Para dejar nuevas preguntas deberás hacerlo allí, donde además podrás encontrar nuevas asignaturas y herramientas para ayudarte más con tus estudios.

  • icon

    Antonio Martinez Parra
    el 20/4/19

    buenas ,

    ¿a ver quien me puede echar una mano en resolver este ejercicio? lo he intentado pero no lo tengo claro , me da que a=0 , gracias 


    replythumb_up0 voto/sflag
    icon

    Antonio Silvio Palmitano
    el 20/4/19

    Tienes la expresión de una función en tres trozos:

    f(x) = 

    -a*x2 + 3                    si x < 2,

    x + 1                           si 2 ≤ x < 4,

    5                                 si x ≥ 4,

    y observa que la función está definida en el conjunto de los números reales, por lo que su dominio es: D = R.

    Luego, observa que las expresiones de los tres trozos son polinómicas, por lo que aceptamos que la función es continua en los correspondientes intervalos de validez de los trozos, por lo que queda estudiar la continuidad en los valores de corte, por medio de la definición:


    a)

    Para x1 = 2 (observa que este valor corresponde al segundo trozo):

    1°)

    f(2) = 2 + 1 = 3;

    2°)

    Lím(x→2-) f(x) = Lím(x→2-) (-a*x2 + 3) = -a*22 + 3 = -4*a + 3,

    Lím(x→2+) f(x) = Lím(x→2+) (x + 1) = 2 + 1 = 3,

    y como los límites laterales deben coincidir para que el límite exista, igualas expresiones, y queda la ecuación:

    -4*a + 3 = 3, y de aquí despejas: a = 0,

    y para este valor tienes que el límite de la función queda:

    Lím(x→2) f(x) = 3;

    3°)

    como tienes que el valor de la función y el límite coinciden para este valor de corte, puedes concluir que la función es continua en x1 = 2 solamente con la condición: a = 0.

    b)

    Para x2 = 4 (observa que este valor corresponde al tercer trozo):

    1°)

    f(4) = 5;

    2°)

    Lím(x→4-) f(x) = Lím(x→4-) (x + 1) = 4 + 1 = 5,

    Lím(x→4+) f(x) = Lím(x→4+) (5) = 5,

    y como los límites laterales coinciden, entonces tienes que el límite de la función queda:

    Lím(x→4) f(x) = 5;

    3°)

    como tienes que el valor de la función y el límite coinciden para este valor de corte, puedes concluir que la función es continua en x2 = 4.

    Luego, reemplazas el valor obtenido: a = 0 en la expresión de la función de tu enunciado, cancelas el término nulo en la expresión del primer trozo, y queda:

    f(x) = 

    3                                  si x < 2,

    x + 1                           si 2 ≤ x < 4,

    5                                 si x ≥ 4,

    y observa que la función está definida en el conjunto de los números reales, por lo que su dominio es: D = R, y que es continua en todo su dominio.

    Espero haberte ayudado.

    thumb_up0 voto/sflag
  • icon

    Sara
    el 20/4/19

    Necesito que me ayuden con este problema, muchas gracias.


    replythumb_up0 voto/sflag
    icon

    Antonius Benedictus
    el 20/4/19


    thumb_up0 voto/sflag
  • icon

    Cinthia LV
    el 20/4/19

    podrían darme una mano con esta pregunta mil gracias ^^

    replythumb_up0 voto/sflag
    icon

    Antonius Benedictus
    el 20/4/19

    Aclara qué entiendes por Adj(M), si la matriz de adjuntos o la matriz traspuesta de adjuntos.


    thumb_up1 voto/sflag
    icon

    Cinthia LV
    el 20/4/19

    lo segundo mi estimado 

    thumb_up0 voto/sflag
    icon

    Antonius Benedictus
    el 20/4/19


    thumb_up0 voto/sflag
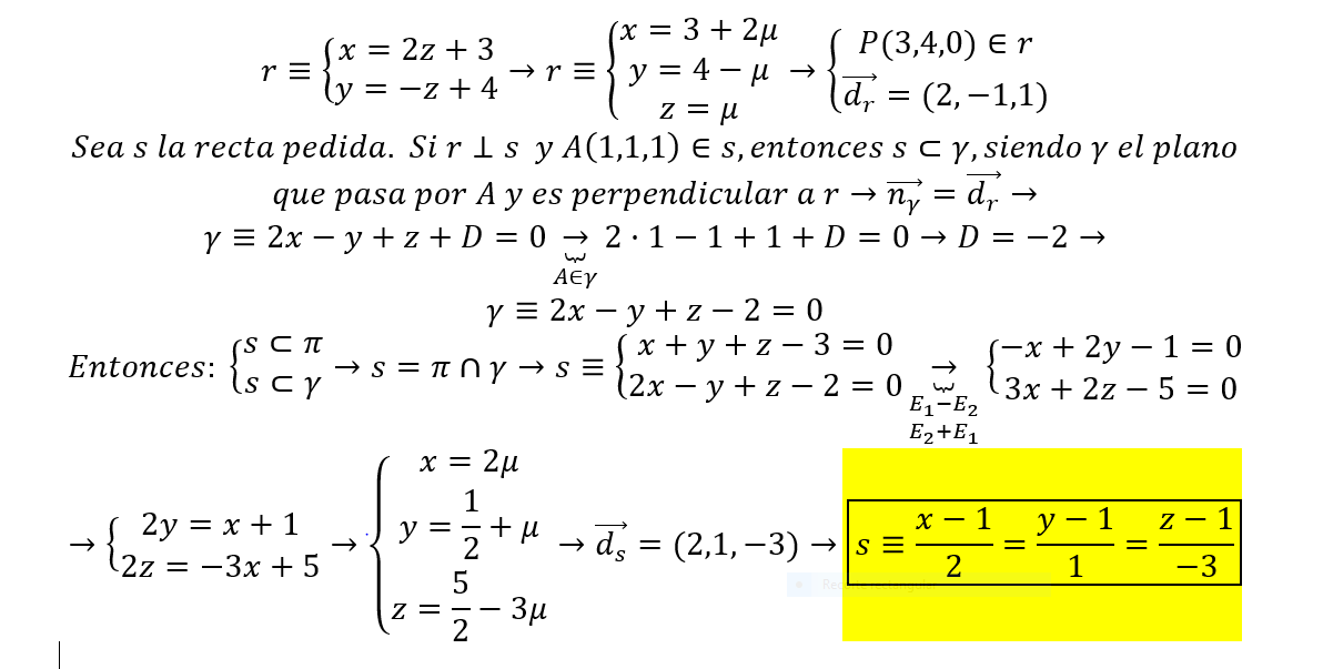
  • icon

    Uriel Dominguez
    el 20/4/19

    Este otro, determinar si es una transformación lineal 

    replythumb_up0 voto/sflag
    icon

    Antonius Benedictus
    el 20/4/19

    Correcto.

    thumb_up1 voto/sflag
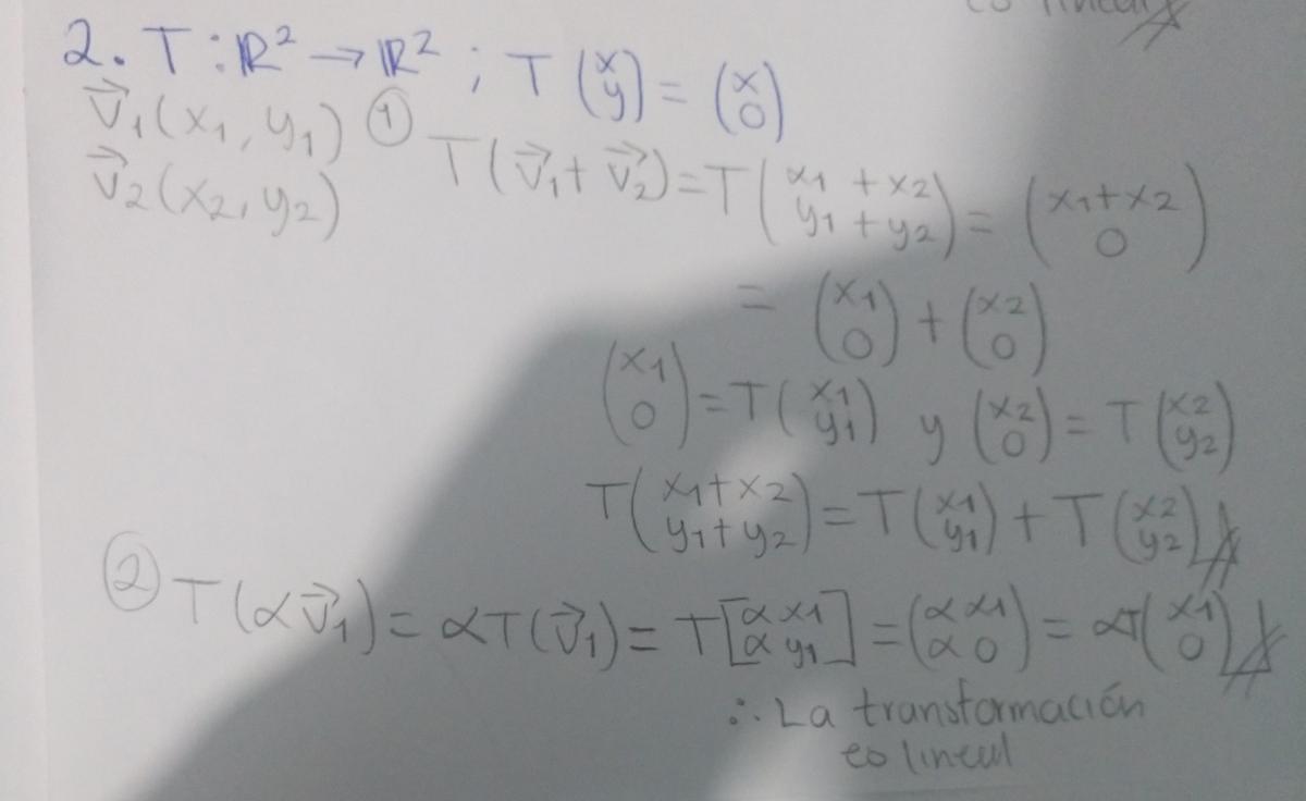
  • icon

    Uriel Dominguez
    el 20/4/19

    Qué tal, me podrían decir si está bien hecho? Aún tengo dudas con respecto a cómo realizar ese tipo de ejercicios y ando practicando. :) 

    replythumb_up0 voto/sflag
    icon

    Antonius Benedictus
    el 20/4/19

    Correcto.

    thumb_up1 voto/sflag
  • icon

    Cinthia LV
    el 20/4/19

    por favor podrían ayudarme con la 18, mil gracias 

    replythumb_up0 voto/sflag
    icon

    Antonius Benedictus
    el 20/4/19


    thumb_up0 voto/sflag
  • icon

    Paula Alvarez
    el 20/4/19

    En el conjunto de los números reales se define la relación f(x) = x + 2

    a. Calculá f(5); f(0); f(90)

    b. Si f(a) = 5; f(b) = 1 y f(c) = 201; encontrá a, b y c.


    replythumb_up0 voto/sflag
    icon

    Antonio Silvio Palmitano
    el 20/4/19

    a)

    Evalúas la expresión de los valores indicados para cada valor de la variable independiente que te piden, y queda:

    f(5) = 5 + 2 = 7,

    f(0) = 0 + 2 = 2,

    f(90) = 90 + 2 = 92.

    b)

    1)

    Tienes el valor de la función:

    f(a) = 5, sustituyes la expresión evaluada para el valor a de la variable independiente, y queda:

    a + 2 = 5, restas 2 en ambos miembros, y queda:

    a = 3;

    2)

    Tienes el valor de la función:

    f(b) = 1, sustituyes la expresión evaluada para el valor b de la variable independiente, y queda:

    b + 2 = 1, restas 2 en ambos miembros, y queda:

    b = -1;

    3)

    Tienes el valor de la función:

    f(c) = 201, sustituyes la expresión evaluada para el valor c de la variable independiente, y queda:

    c + 2 = 201, restas 2 en ambos miembros, y queda:

    c = 199.

    Espero haberte ayudado.

    thumb_up1 voto/sflag
  • icon

    Muneeb Mazhar
    el 20/4/19

    la representacion de la recta mx+n que la pendiente sea una fraccion y la ordenada en el origen tambien 

    ej: 3/4-1/4x

    replythumb_up0 voto/sflag
    icon

    Antonio Silvio Palmitano
    el 20/4/19

    Vamos con una orientación.

    Tienes la ecuación cartesiana explícita de la recta:

    y = 3/4 - (1/4)x,

    cuya ordenada al origen es 3/4, y cuya pendiente es -1/4.

    Luego, a partir del valor de la ordenada al origen tienes que el punto: B(0,3/4) pertenece a la recta.

    Luego, a partir del punto B te desplazas 4 unidades hacia la derecha (sigues al denominador de la pendiente), y luego 1 unidad hacia abajo (sigues al numerador de la pendiente), y tienes que el punto: M(4,-1/4) pertenece a la recta.

    Luego, con los puntos B y M puedes graficar la recta en un sistema de ejes cartesiano OXY, y observa que puedes adoptar la escala: 4 cuadritos = 1 en una hoja cuadriculada, ya que en las coordenadas de los puntos B y M tienes fracciones cuyo denominador es 4.

    Espero haberte ayudado.

    thumb_up1 voto/sflag
  • icon

    Francisco
    el 19/4/19

    Alguien me puede ayudar con el ejercicio 11?

    replythumb_up0 voto/sflag
    icon

    Antonius Benedictus
    el 19/4/19


    thumb_up0 voto/sflag
  • icon

    manuel gualiche
    el 19/4/19

    Hola buenas .tengo un ejercicio de representación de una función que me está costando por una a

    replythumb_up0 voto/sflag
    icon

    Antonius Benedictus
    el 19/4/19

    La foto está cortada.

    thumb_up0 voto/sflag
    icon

    manuel gualiche
    el 20/4/19

    es la doble (si x es menor igual que 1,si x es mayor que 1) función de arriba

    thumb_up0 voto/sflag
    icon

    Antonio Silvio Palmitano
    el 20/4/19

    Observa que los dos trozos de la expresión tienen expresiones polinómicas, por lo que aceptamos que son continuas, por lo que solo queda estudiar la continuidad de la función en el valor de corte: x0 = 1.

    Luego, aplicas la definición de continuidad de una función en un punto de su dominio, y queda:

    1°)

    f(1) = evalúas en la expresión del primer trozo = -2(1) + a, por lo que tienes: f(1) = -2 +a (1);

    2°)

    Lím(x→1-) f(x) = Lím(x→1-) (-2x + a) = 2(-1) + a = -2 + a (2),

    Lím(x→1+) f(x) = Lím(x→1+) (x2 - ax + 5) = (1)2 - a(1) + 5) = 1 - a + 5 = 6 - a (3),

    y como el límite de la función en el punto de corte debe existir, igualas las expresiones señaladas (2) (3), y queda:

    -2 + a = 6 - a, y de aquí despejas: a = 4;

    3°)

    luego, reemplazas el valor remarcado en la ecuación señalada (1), resuelves, y queda: f(1) = 2,

    también reemplazas dicho valor remarcado en las expresiones de los límites laterales, resuelves, y queda:

    Lím(x→1-) f(x) = 2 y Lím(x→1+) f(x) = 2, por lo que tienes que el límite de la función en el punto de corte queda:

    Lím(x→1) f(x) = 2, y como el valor de la función en el punto de corte y del límite de la función en dicho punto coinciden, puedes concluir que la función es continua en dicho punto para: a = 4, y como las expresiones de las ramas son continuas en todos los puntos de sus intervalos de validez, entonces tienes que la función es continua en el conjunto de los números reales.

    Espero haberte ayudado.

    thumb_up0 voto/sflag
    icon

    manuel gualiche
    el 20/4/19

    ahora lo he entendido mejor pero me cuesta a la hora de representar.podrías reprensentarla para fijarme en la práctica?gracias

    thumb_up0 voto/sflag