Hola Unicoos
Me piden hallar este límite.
Necesito saber si mi procedimiento al sacar "x" de la raíz cuadrada en los últimos pasos (subrayado en verde) es correcto.
Muchas gracias
Hola Unicoos
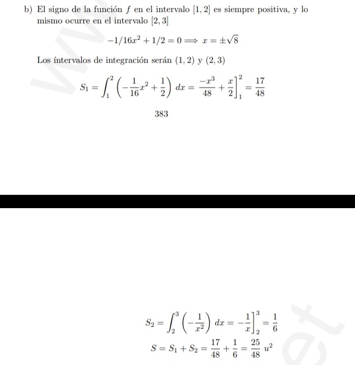
En el apartado b) No entiendo por qué no vale el área comprendida en el intervalo (-2√2 , 1). En caso de que fuese negativo yo lo pondría en valor absoluto, por qué no es válido ese intervalo?
Muchas gracias por su ayuda
Lo que yo haría:
El hemno de diego tiene 10 año menos que él. Dentro de 5 años, diego tendra el doble que su hermano ¿cuales son sus edades

Puedes llamar x a la edad actual de Diego, y puedes llamar y a la edad actual de su hermano; luego, puedes plantear la ecuación:
y = x - 10 (1).
Luego, observa que dentro de cinco años la edad de Diego será: (x+5), y la edad de su hermano será: (y+5), por lo que puedes plantear la ecuación:
x + 5 = 2(y + 5), aquí distribuyes el segundo miembro, y queda:
x + 5 = 2y + 10, aquí restas 5 en ambos miembros, y queda:
x = 2y + 5 (2).
Luego, sustituyes la expresión señalada (2) en la ecuación señalada (1), y queda:
y = 2y + 5 - 10, restas 2y en ambos miembros, reduces términos semejantes, y queda:
-y = -5, multiplicas por -1 en ambos miembros, y queda: y = 5 años;
luego, reemplazas el valor remarcado en la ecuación señalada (1), resuelves, y queda: x = 15 años.
Espero haberte ayudado.
{xϵR/x= (-1)n+ 1/n , nϵN*} Tengo que resolver ese límite y a su vez encontrar extremos, mínimos y máximos. Mi respuesta fue que n se encontraba entre el -1 y el 0 (Intervalo abierto) y el (1, 1,5) , así estaría bien?

Recuerda que la expresión: (-1)n es oscilante, y toma los valores -1 y 1 en forma alternada, por lo que no tiene límite.
Recuerda que la expresión: 1/n toma valores positivos decrecientes, por lo que tienes que su valor máximo es 1 y que su límite es 0.
Luego, tienes el límite de tu enunciado:
Lím(n→∞ ( (-1)n + 1/n ), el cuál no existe, ya que es la suma de dos términos en los cuales el primero de ellos no existe y el segundo tiende a cero (observa que para valores de n mucho mayores que uno, tienes que la expresión toma valores cercanos a -1 y a 1 en forma alternada.
Luego, como el primer término de la expresión es oscilante entre dos valores fijos, y como el segundo término es decreciente y toma valores positivos, entonces tienes (consignamos los primeros valores de la expresión de tu enunciado a fin de visualizar mejor la situación):
x(1) = (-1)1 + 1/1 = -1 + 1 = 0,
x(2) = (-1)2 + 1/2 = 1 + 1/2 = 3/2 = 1,5,
x(3) = (-1)3 + 1/3 = -1 + 1/3 = -2/3 ≅ -0,667,
x(4) = (-1)4 + 1/4 = 1 + 1/4 = 5/4 = 1,25,
x(5) = (-1)5 + 1/5 = -1 + 1/5 = -4/5 = -0,8,
x(6) = (-1)6 + 1/6 = 1 + 1/6 = 7/6 ≅ 1,167,
x(7) = (-1)7 + 1/7 = -1 + 1/7 = -6/7 ≅ -0,857,
x(8) = (-1)8 + 1/8 = 1 + 1/8 = 9/8 = 1,125,
y así siguiendo;
luego, consignamos dos términos correspondientes a valores de n mucho mayores que uno:
x(999) = (-1)999 + 1/999 = -1 + 1/999 = -998/999 ≅ -0,999,
x(1000) = (-1)1000 + 1/1000 = 1 + 1/1000 = 1001/1000 = 1,001.
Luego, observa que los valores de la expresión para n impar tienden a -1, y que los valores para n par tienden a 1,
por lo que tienes que el valor remarcado: x(2) = 1,5 es el valor máximo que toma la expresión, y puedes observar además que la expresión no toma un valor mínimo, ya que sus valores correspondientes a n impar se acercan a -1 cada vez más, a medida que los valores de n impares tienden a infinito.
Luego, puedes concluir que la expresión de tu enunciado toma valores pertenecientes al intervalo: ( -1 , 1,5 ].
Espero haberte ayudado.
Buenos días, perdonad las molestias. ¿Podrían ayudarme con este problema?
Un señor tiene 37 años y su hijo 13 ¿cuántos años hace que el cuadrado de la edad del hijo era el doble de la edad del padre?
Muchas gracias

Vamos con una orientación.
Puedes llamar x a la cantidad de años que han pasado.
Observa que las edades de las dos personas eran: (37-x) y (13-x).
Luego, puedes plantear la ecuación:
(13-x)² = 2(37-x).
Luego, desarrollas el binomio elevado al cuadrado en el primer miembro, distribuyes el segundo miembro, y queda:
169 - 26x + x2 = 74 - 2x,
sumas 2x y restas 74 en ambos miembros, ordenas términos en el primer miembro, y queda:
x2 - 24x + 95 = 0,
que es una ecuación polinómica cuadrática, cuyas soluciones son:
a)
x = (24+14)/2 = 19 años,
que no tiene sentido para este problema (observa que la edad actual de la persona más joven es trece años);
b)
x = (24-14)/2 = 5 años,
que sí tienes sentido para este problema (observa que las edades de las personas hace siete años son: 32 años y 8 años, respectivamente).
Espero haberte ayudado.