Foro de preguntas y respuestas de Matemáticas

logo beUnicoos
Los foros de unicoos se han unificado en nuestra nueva plataforma beUnicoos. Para dejar nuevas preguntas deberás hacerlo allí, donde además podrás encontrar nuevas asignaturas y herramientas para ayudarte más con tus estudios.

  • icon

    jorge
    el 11/4/19

    4- El gasto mensual en alimentación de los hogares de Barcelona sigue una distribución Normal (μ=300, σ=80). 
    a) Calcule la probabilidad de que el gasto en un hogar elegido al azar sea inferior a 125€ b) Calcule la probabilidad de que el gasto en un hogar elegido al azar sea superior a 180€ c) Calcule la probabilidad de que el gasto en un hogar elegido al azar sea inferior a 300€ d) Calcule la probabilidad de que el gasto en un hogar elegido al azar sea superior a 350€ e) Calcule la probabilidad de que, de 5 hogares seleccionados al azar, en menos de 2 el gasto sea superior a 350€.


    replythumb_up0 voto/sflag
    icon

    Antonius Benedictus
    el 11/4/19

  • icon

    jorge
    el 11/4/19
    flag

    Una empresa es especialista en la fabricación de un componente específico para smartphones. Su proceso productivo es de alta calidad y únicamente salen defectuosas el 0,02% de las piezas que producen.  
    Para homogeneizar el proceso de venta, únicamente vende las piezas en lotes de 2.000 productos. Están tan seguros de la calidad de su proceso productivo que, como política de garantía, les ofrecen a sus clientes la posibilidad de solicitar la devolución del importe del lote al completo si éste contiene más de 1 pieza defectuosa. 
    Sabiendo que esta empresa vende anualmente una media de 50.000 lotes a un precio por lote de 1.000€: 
     ¿Cuánto le cuesta anualmente a la empresa ofrecer esta política de garantía? 
    ¿Qué porcentaje de la facturación se pierde debido a esta política de garantía?

    replythumb_up0 voto/sflag
    icon

    Breaking Vlad
    el 3/6/19

    Se trata de que DESPUES DE IR A CLASE (ver los vídeos relacionados con vuestras dudas) enviéis dudas concretas, muy concretas. Y que nos enviéis siempre también todo aquello que hayais conseguido hacer por vosotros mismos. Paso a paso, esté bien o mal. No solo el enunciado. De esa manera podremos saber vuestro nivel, en que podemos ayudaros, cuales son vuestros fallos.... Y el trabajo duro será el vuestro.

    thumb_up0 voto/sflag
  • icon

    Juan
    el 11/4/19

    No me sale esta derivada, ¿alguien me ayuda?


    replythumb_up0 voto/sflag
    icon

    Antonius Benedictus
    el 11/4/19


    thumb_up1 voto/sflag
  • icon

    elkin eliecer moreno
    el 11/4/19


    Ayuda con el 6 y el 9 por favor ayuda con esos dos


    replythumb_up0 voto/sflag
    icon

    Antonius Benedictus
    el 11/4/19


    thumb_up0 voto/sflag
    icon

    Antonius Benedictus
    el 11/4/19

    Te va uno muy similar al 6:


    thumb_up0 voto/sflag
  • icon

    lbp_14
    el 11/4/19

    Hola Unicoos

    Tengo dos dudas respecto a las Asíntotas Horizontales de esta función.

    1) no tengo claro cuando es necesario hacer límites por las dos ramas en +∞ y -∞ en funciones racionales. Sólo cuando el dominio del denominador es todo R se hace por las dos ramas ? 


    2) si resuelvo el límite en -∞ de f(x) la primera indeterminación que me queda al sustituir es (-∞/0) como podría resolverlo?

    Muchísimas gracias


    replythumb_up0 voto/sflag
    icon

    César
    el 11/4/19


    thumb_up1 voto/sflag
  • icon

    Merche Valeiras
    el 11/4/19


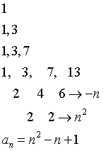
    Podéis enseñarme como se hace esto?

    replythumb_up0 voto/sflag
    icon

    Merche Valeiras
    el 11/4/19

    thumb_up0 voto/sflag
    icon

    Merche Valeiras
    el 11/4/19

    yo las dos primeras las hice tal como están en la foto. Pero.... 3^X= 2^X no tengo ni idea de cómo se hace si es que se puede hacer. 

    thumb_up0 voto/sflag
  • icon

    MARLENNE PEREZ
    el 11/4/19

    Ayuda plis



    replythumb_up0 voto/sflag
    icon

    Antonius Benedictus
    el 11/4/19


    thumb_up0 voto/sflag
    icon

    César
    el 11/4/19


    thumb_up0 voto/sflag
  • icon

    Nepgordo
    el 11/4/19
    flag

    Ayuda nose como se hacen

    replythumb_up0 voto/sflag
    icon

    Breaking Vlad
    el 3/6/19

    Función a trozos - Discontinuidad 03

    Se trata de que DESPUES DE IR A CLASE (ver los vídeos relacionados con vuestras dudas) enviéis dudas concretas, muy concretas. Y que nos enviéis siempre también todo aquello que hayais conseguido hacer por vosotros mismos. Paso a paso, esté bien o mal. No solo el enunciado. De esa manera podremos saber vuestro nivel, en que podemos ayudaros, cuales son vuestros fallos.... Y el trabajo duro será el vuestro.

    thumb_up0 voto/sflag
  • icon

    jorge velazquez
    el 11/4/19
    flag

    una lamina tiene la forma de la region limitada por 4y=3x, x=4 y el eje x la densidad varia como la distancia desde el eje. me pueden ayudar con este problema


    replythumb_up0 voto/sflag
    icon

    Breaking Vlad
    el 3/6/19

    Hola Jorge,

    no has especificado cuál es el problema.

    thumb_up1 voto/sflag
  • icon

    lbp_14
    el 11/4/19

    Hola Unicoos

    Me he atascado en el apartado b) de este ejercicio. No entiendo ese factor común, no logro continuar.

    Muchas gracias


    replythumb_up0 voto/sflag
    icon

    Breaking Vlad
    el 30/5/19

    Hola lbp

    A2 = (2A-I), por lo que:

    4·A2 = 4·(2A-I)

    y como está operando para quitar el paréntesis, hay que multiplicar por la A de fuera:

    4·(2A-I)·A

    thumb_up0 voto/sflag