bx-2x+c=(b-2)x+c. Entonces el límite que necesitas (que coincide con la ordenada en el origen de la asíntota oblícua) es (b-2)/1 = b-2, porque tienes una indeterminación infinito/infinito de polinomios del mismo grado. Entonces b-2 tiene que ser igual a la ordenada en el origen de la asíntota que es -3, por lo tanto, b-2=-3 --> b=-3+2=-1
Hola, buen dia, yo se que el siguiente limite de la serie diverge porque tengo la respuesta, pero no se la razón :
La serie es: ∑ ½ᴋ√(K) (ENTRE 1 E INFINITO) //ᴋ√(K) : significa la raíz k-ésima de k.
Lim ½ ɴ√(N) = ½ (ME DIO ESO EL LÍMITE) //ɴ√(N) : significa la raíz n-ésima de n.
ɴ→∞

A partir de la definición de probabilidad condicional, tienes:
p(A|C) = p(AC)/p(C) = (1/7)/(1/3) = 3/7;
p(C|A) = p(AC)/p(A) = (1/7)/(3/4) = 4/21;
p(B|C) = p(BC)/p(C), y de aquí despejas: p(BC) = p(B|C)*p(C) = (5/21)*(1/3) = 5/63;
p(C|B) = p(BC)/p(B) = (5/63)/(1/6) = 5/378.
Espero haberte ayudado.
Hola a todos.
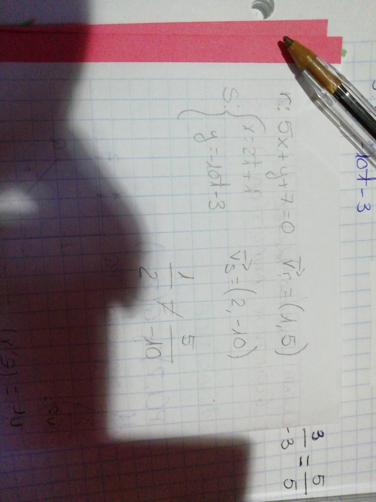
He estado buscando pero no encuentro ningún vídeo que me sirva de guía para un ejercicio que tengo. Se trata de hallar la posición relativa de dos rectas, una de ellas me la dan en forma de ecuación general y la otra como sistema de ecuación paramétrica.
r: 5x+y+7=0
s: x=2t+1 --> y: -10t-3
¿Me podéis indicar un vídeo o ponerme un ejemplo de cómo se resolvería?
Un psicólogo hace un estudio sobre el tiempo de reacción ante un estímulo, determinando que la desviación típica del mismo es 0,5 segundos. Para un nivel de confianza del 99%. Calcula, haciendo uso de la tabla adjunta:
a) El valor crítico para ese nivel de confianza
b) X es una distribución que se ajusta a una binomial, cuyos parámetros son n=10 y p=0,3. Halla P(X=5) y P(X<2)

Se trata de que DESPUES DE IR A CLASE (ver los vídeos relacionados con vuestras dudas) enviéis dudas concretas, muy concretas. Y que nos enviéis siempre también todo aquello que hayais conseguido hacer por vosotros mismos. Paso a paso, esté bien o mal. No solo el enunciado. De esa manera podremos saber vuestro nivel, en que podemos ayudaros, cuales son vuestros fallos.... Y el trabajo duro será el vuestro.