Tengo algo que no cuadra: haciendo ecuaciones logarítmicas he encontrado una que me lleva a hacer una ecuación de 2º grado. El problema es que cuando intento hacerlo, no me da. Lo he comprobado varias veces y no encuentro el problema. Aquí está el enunciado: log2 + log(x-3) = log(raiz de 2)
Tengo una pregunta: Hay alguna propiedad de los logaritmos que me permita hacer algo con log(16-x) / log(3x-4)? Yo creo que no pero igual ai algo que se me escapa
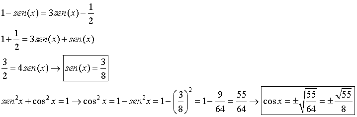
Hola, me gustaria que me ayudaran con este problema. Mas que el resultado lo que me interesa es saber los pasos que se tienen que hacer para llegar a la respuesta

Me encantaría ayudarte, pero no respondo dudas universitarias que no tengan que ver específicamente con los videos que ya he grabado como excepcion. O de otras asignaturas que no sean matemáticas, física y química. Lo siento de corazón… Espero lo entiendas
Ojalá algun unicoo universitario se anime a ayudarte (de hecho lo ideal es que todos los universitarios intentarais ayudaros los unos a los otros)
Hola Unicoos es correcto que en la derivada de la arcsec(x) y la arccsc(x) tengan valor absoluto en la x del denominador?
He notado que en algunos textos omiten el símbolo de valor absoluto, hay alguna diferencia en ello? en que afectaría si lo pongo o no?
Hola! estoy haciendo el examen de probabiliad propuesto por el profesor pero no sé cómo solucionar este ejercicio. Alguien me pueede ayudar? qué pasos hace?
Lanzamos dos dados y anotamos la diferencia entre la mayor y la menor puntuación. Calcula la probabilidad de que la diferencia sea 5.
0,163
0,330
0,055
0,221
Hola Unicoos, tengo una duda, ¿puedo simplificar x2 si en el denominador tengo |x|?
¿me quedaria |x| en el numerador?
Muchas gracias

Observa que puedes aplicar la identidad:
x2 = │x│2, por lo que si tienes:
f(x) = x2/│x│ = sustituyes el numerador = │x│2/│x│ = simplificas = │x│, con x ≠ 0;
y observa que puedes aplicar este procedimiento solamente para las potencias con exponentes pares,
y si tienes exponentes impares, entonces tendrás que expresar a la función a trozos como indica el colega César, por ejemplo:
g(x) = x3/│x│ = descompones el numerador = x2*x/│x│ = sustituyes el primer factor del numerador =
= │x│2*x/│x│ = simplificas = │x│*x, con x ≠ 0;
luego expresas con trozos, y queda:
g(x) =
x*x si x > 0,
-x*x si x < 0,
resuelves expresiones, y queda:
g(x) =
x2 si x > 0,
-x2 si x < 0.
Espero haberte ayudado.