Buenas,
Como podria encontrar los angulos que tengan el mismo sino de 30? (sin utilizar la calculadora)
Hola, en las integrales indefinidas de mi libro no aparecen las integrales trigonométricas y sus inversas. Las necesito por la regla de la cadena. Es decir, necesito:
1. integral de la secante
2. Integral de la cosecante
3. Integral de la cotangente
4. Integral del arco secante
5. Integral del arco cosecante
6. Integral del arco cotangente
Mi profesor me dijo que había que saberlas para el examen pero por más que he buscado, no las he encontrado. Así que os agradecería mucho si me dijéseis cuáles son. Gracias. Un saludo.
Buenos días, tengo una duda sobre el siguiente ejercicio.

Yo lo resolví de la siguiente manera:

Pero al revisar las alternativas, no encontré mi respuesta así que quise ver como el libro lo resolvía:

Por lo que he notado, la diferencia entre mi resolución y la del libro es que yo simplifico la expresión del denominador casi de inmediato, ellos en cambio trabajan las expresiones del numerador consiguiendo simplificar más de lo que yo pude hacer gracias a que no simplificaron el "2" del denominador muy pronto como si lo hice yo. Sin embargo, no encuentro error en mi decisión de simplificar el denominador al inicio, es decir tanto el "2" como el "2x" del numerador y denominador se estaban multiplicando así que era posible simplificarlos, no es así? pero por esa decisión mía el resultado final no es el correcto. Y aquí es donde aparece mi confusión, es decir, tan solo por decidir simplificar el "2" del denominador al inicio la respuesta es totalmente diferente, lo entendería si esto fuera incorrecto pero como repito y ya a modo de pregunta ¿no había nada de malo en simplificar el denominador al inicio, o si? ¿Es el modo de resolver que usa el libro el único modo correcto?
Creo que podría estar fallando en alguna otra parte de mi resolución, pero la verdad lo he revisado varias veces y no veo errores.
Cual sería el dominio de la siguiente función: f(x)= 1/1+x2 (esa 2 está encima de la x)
Como se calcula?

El dominio serán todos aquellos números para los cuales la función está definida, es decir, en este caso que NO anulen al denominador.
1+x^2=0
x^2= -1
x= raíz cuadrada de -1, la cual no existe.
Es decir, el denominador no se anula nunca y, por tanto, el domino de la función son todos los números reales.
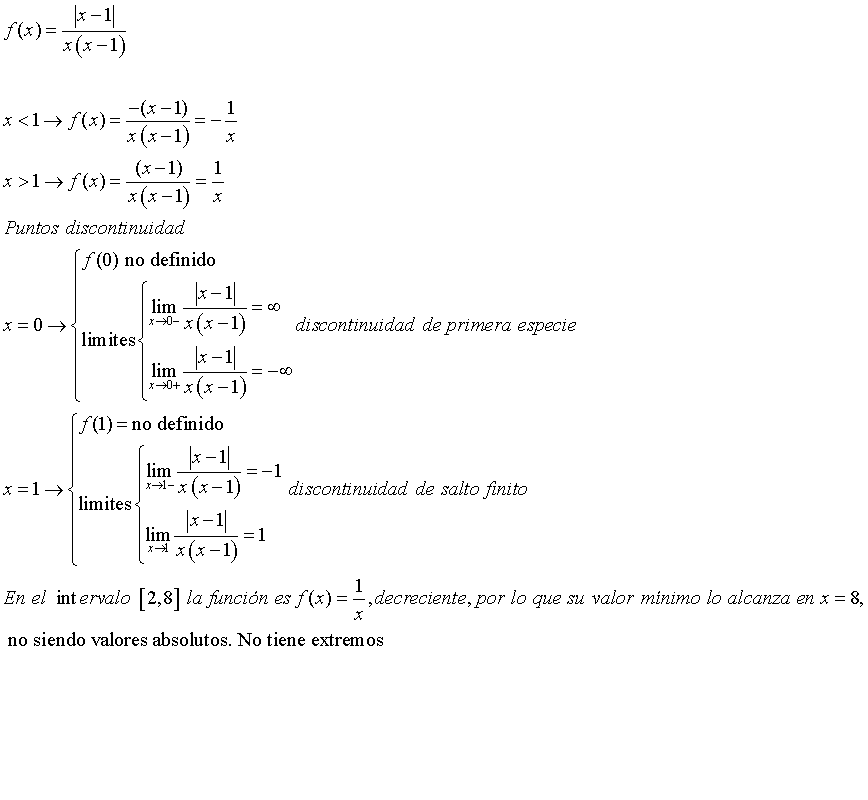
Me ayudarían a resolver este ejercicio? Al tratarse de un valor absoluto en el numerador no tengo muy claro cómo queda al definirla a trozos (si debe ponerse el igual en algún intervalo, ya que su dominio no incluye el 1 ni el 0).
Y, además, las discontinuidades me lían mucho :(