Foro de preguntas y respuestas de Matemáticas

logo beUnicoos
Los foros de unicoos se han unificado en nuestra nueva plataforma beUnicoos. Para dejar nuevas preguntas deberás hacerlo allí, donde además podrás encontrar nuevas asignaturas y herramientas para ayudarte más con tus estudios.

  • icon

    Abraham Varas
    el 19/2/19

     ayuda con el cálculo del dominio de la función variable. Estoy perdido 

    replythumb_up0 voto/sflag
    icon

    Antonius Benedictus
    el 19/2/19


    thumb_up0 voto/sflag
    icon

    Abraham Varas
    el 20/2/19

    Disculpa no quede claro xq usaste el mayor a 4 o el menor a 1. Alguna explicación por favor 


    thumb_up0 voto/sflag
    icon

    Antonius Benedictus
    el 20/2/19


    thumb_up0 voto/sflag
  • icon

    Sandy Murillo S...
    el 19/2/19

    Hola unicoos.

    Alguien podria ayudarme necesito ayuda.

    Necesito demostrar que:

    el primer miembro de la igualdad equivale al segundo miembro. Ya intente pero no logré hacerlo, ni con magia.

    De antemano muchisimas gracias a la persona que me ayude, le agradezco mucho.

    replythumb_up0 voto/sflag
    icon

    Antonius Benedictus
    el 19/2/19


    thumb_up0 voto/sflag
    icon

    César
    el 19/2/19


    thumb_up0 voto/sflag
  • icon

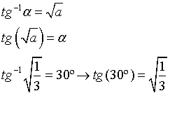
    d tavare
    el 19/2/19

    Hola amiguitos.. si la raíz cuadrada es el arcotangente entonces la tangente es la potencia al cuadrado? está bien hecha esta comparación?

    replythumb_up0 voto/sflag
    icon

    César
    el 19/2/19



    thumb_up0 voto/sflag
  • icon

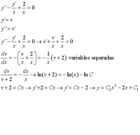
    Silvio Aguirre
    el 19/2/19

    hola. alguien me puede ayudar con el siguiente ejercicio?


    Gracias!


    replythumb_up0 voto/sflag
    icon

    César
    el 19/2/19

    Revisa que he debido meter la pata en algún signo


    thumb_up1 voto/sflag
  • icon

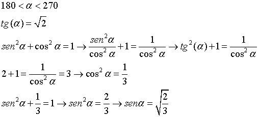
    Diego
    el 19/2/19

    Calcula el seno de α sabiendo que:

    replythumb_up0 voto/sflag
    icon

    César
    el 19/2/19


    thumb_up0 voto/sflag
  • icon

    Diego
    el 19/2/19

    Calcula, en función de h el valor de la siguiente razón trigonométrica.


    replythumb_up0 voto/sflag
    icon

    Antonius Benedictus
    el 19/2/19


    thumb_up0 voto/sflag
  • icon

    KaliI
    el 19/2/19

    Alguien me ayuda? Gracias de ante mano!

    Considerar una matriz A perteneciente a M2x2(R) y la aplicación T: M2x2(R) →M2x2(R) definida por T(B) = AB

    a) Probar que T es lineal.

    b) Para Mt= (1+3, 2+4)^T encontrar la matriz asociada a T en la base canónica M2x2(R). 

                 

                 1  2

    Mt =     3  4

    replythumb_up0 voto/sflag
    icon

    Antonius Benedictus
    el 19/2/19

    Por favor, foto del enunciado original.

    thumb_up0 voto/sflag
    icon

    KaliI
    el 19/2/19


    thumb_up0 voto/sflag
    icon

    Antonius Benedictus
    el 20/2/19


    thumb_up1 voto/sflag
  • icon

    Inmaculada Rodríguez García
    el 19/2/19

    Helloooo!! tengo una súper duda, ¿Cómo se pueden factorizar los polinomios de tipo: x^4+y^4+2x^2y^2-10x^2-10y^2+9? cuando existen x*y elevadas a algún exponente??


    Muchas gracias,


    Un saludo,

    replythumb_up0 voto/sflag
    icon

    César
    el 19/2/19


    thumb_up0 voto/sflag
  • icon

    Mariana Romero
    el 19/2/19

    hola!!, necesito saber como se resuelve esta derivada que no entiendo, y=2x2 _- 1 / x raiz de 1+x , me pueden ayudar a resolverla, saludos.

    replythumb_up0 voto/sflag
    icon

    Antonius Benedictus
    el 19/2/19

    Pon foto del enunciado original y especifica si es por la definición o por las reglas.

    thumb_up0 voto/sflag
  • icon

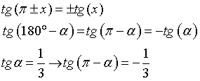
    Diego
    el 19/2/19

    Si tan α = 1/3 y α es un ángulo que está en el primer cuadrante, calcula (sin hallar α), la tan (180° - α)

    replythumb_up0 voto/sflag
    icon

    César
    el 19/2/19


    thumb_up0 voto/sflag