ayuda con este ejercicio por favor
La base de un solido es un circulo con un radio r unidades y todas las secciones planas perpendiculares a un diámetro ojo de la base son triángulos rectos isósceles que tiene la hipotenusa en el plano de la base. Encontrar el volumen del solido.

Me encantaría ayudarte, pero no respondo dudas universitarias que no tengan que ver específicamente con los videos que ya he grabado como excepcion. O de otras asignaturas que no sean matemáticas, física y química. Lo siento de corazón… Espero lo entiendas
Ojalá algun unicoo universitario se anime a ayudarte (de hecho lo ideal es que todos los universitarios intentarais ayudaros los unos a los otros)
me podrían ayudar con este ejercicio por favor
La base de un solido es la región limitada por y = 1- x^2 y y = 1-x^4. La sección transversal del solido
perpendicular al eje x es un cuadrado. Encuentre el volumen del solido.

Me encantaría ayudarte, pero no respondo dudas universitarias que no tengan que ver específicamente con los videos que ya he grabado como excepcion. O de otras asignaturas que no sean matemáticas, física y química. Lo siento de corazón… Espero lo entiendas
Ojalá algun unicoo universitario se anime a ayudarte (de hecho lo ideal es que todos los universitarios intentarais ayudaros los unos a los otros)
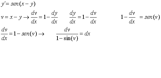
Hola queria saber si me podrian ayudar con el sigueinte problema
es de ecuaciones diferenciales variables separadas
Intente pasar el sin (x-y) --> sen(x)*cos(y) - cos(x)*sin(y) pero no logre poner X y Y separados
Quisiera saber si estos despejes estan bien
T=2/3 a(b+c)
2/3 a(b+c)=t a(b+c)= 3t/2 b+c=3t/2/a c=3t/2-b y todo eso dividido entre a
La otra es Y=2m-1/m+3 despejando m
en esta si que no se cómo hacerla así que si alguien me puede corregir y ayudarme, muchas gracias.