Foro de preguntas y respuestas de Matemáticas

logo beUnicoos
Los foros de unicoos se han unificado en nuestra nueva plataforma beUnicoos. Para dejar nuevas preguntas deberás hacerlo allí, donde además podrás encontrar nuevas asignaturas y herramientas para ayudarte más con tus estudios.

  • icon

    Diego Mauricio Heredia
    el 2/2/19

    Hola ayuda por favor con la 1 y 2. Necesito estudiar porque mi prueba será similar. 


    replythumb_up0 voto/sflag
    icon

    Antonius Benedictus
    el 2/2/19


    thumb_up0 voto/sflag
  • icon

    Nabila
    el 2/2/19

    Me pueden ayudar a resolver el ejercicio tres por la regla de cramer.

    Gracias



    replythumb_up0 voto/sflag
    icon

    Antonius Benedictus
    el 2/2/19

    https://matrixcalc.org/es/slu.htmlç


    thumb_up0 voto/sflag
  • icon

    David Poyatos
    el 2/2/19

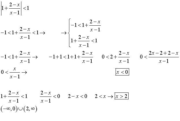
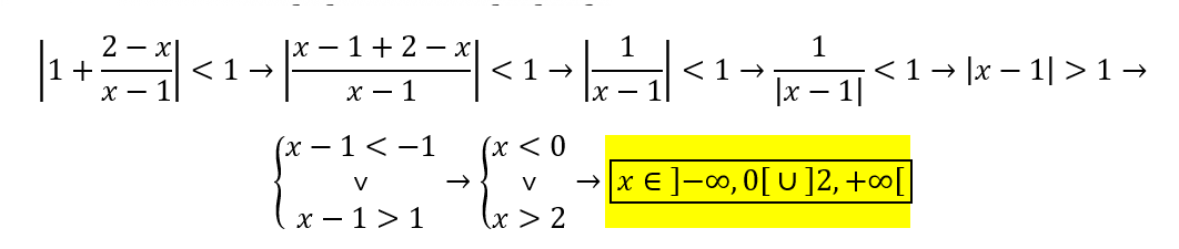
    Buenas, podrían ayudarme a resolver la siguiente ecuación y explicarme cómo se resuelven este tipo de ecuaciones para todos los casos, es decir, mayor, menor, igual.. gracias de antemano


    replythumb_up0 voto/sflag
    icon

    Antonius Benedictus
    el 2/2/19


    thumb_up0 voto/sflag
  • icon

    Mario
    el 2/2/19

    ver video de potenciación de monomios i todo lo relacionado con el monomios partes i reconocimiento .

    Estoy realizando operaciones de potenciación de monomios con monomios:

    (-2p(exponente2)q(exponente3))exponente3=

    -2 es exponente 0= -2.3=0

    p exp2.3= p exponente6

    q exp3.3= q exp9

    Resultado final -2pEx6qexp9

    Se multiplican los exponente (ex) por el exponentes de fuera del paréntesis dejando las mismas variables.


    replythumb_up0 voto/sflag
    icon

    César
    el 2/2/19

    No queda nada claro mejor foto del enunciado Mario

    thumb_up0 voto/sflag
  • icon

    Andrés
    el 2/2/19

    Hola Unicoos, me gustaría que me pudieseis ayudar con este ejercicio 

    Un saludo.

    replythumb_up0 voto/sflag
    icon

    Antonius Benedictus
    el 2/2/19


    thumb_up1 voto/sflag
  • icon

    Pablo Montero Reguilon
    el 2/2/19

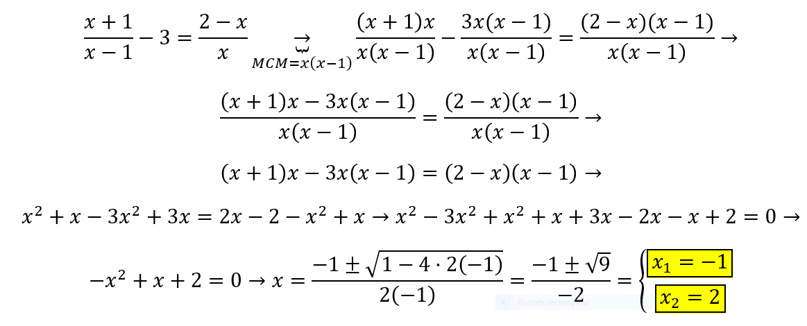
    alguien me puede ayudar con esta ecuacion

    replythumb_up0 voto/sflag
    icon

    Antonius Benedictus
    el 2/2/19


    thumb_up1 voto/sflag
  • icon

    Sara
    el 2/2/19

    Buenos dias, ¿alguien me puede ayudar con el siguiente ejercicio?

    calcula el máximo, el mínimo y una acotación, todo ello en el intervalo indicado:

    f(x) = x^2− 9 en [−2, 1] 

    replythumb_up0 voto/sflag
    icon

    Antonius Benedictus
    el 2/2/19


    thumb_up0 voto/sflag
  • icon

    maria
    el 2/2/19

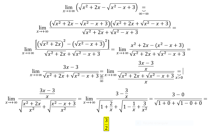
    porfa ayúdenme con este ejercicio de cálculo diferencial...

    replythumb_up0 voto/sflag
    icon

    Antonius Benedictus
    el 2/2/19


    thumb_up0 voto/sflag
  • icon

    Ana Praguedes
    el 2/2/19

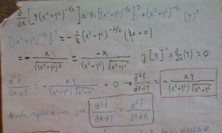
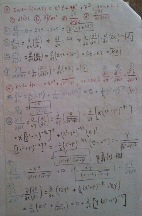
    • Hola Amigos De unicoos , los felicito por el trabajo que hacen aquí , a los prof que nos ayudan saludos ..
    • Aquí OS traigo un ejercicio que me pereció complicado y no e podido dar , les muestro la clases ,pa que observen el tipo de metodología utilizada y las formulas por así decir en este tema  , Derivadas parciales ,de orden superior ... Estaba todo bien hasta que me encuentro con que la función es con seno y coseno y ambas poseen posen un símbolo distinto ,se que una es ángulo la otra no se .. X lo que no se si influya durante la realización del ejercicio .... Aquí OS muestro la clase 👇👇👇

    Y aquí les traigo el problema es el numero 3 

    Si alguien lo puede resolver le agradecería , tema : Derivadas parciales de orden superior , vean la clase y observen como seria esta porque me a pasado que me responden y son muy distintas a las clases que nos dan ,y pienso que están mal , xq no siguen la metodología que nos están enseñando en nuestros sitios 

    replythumb_up0 voto/sflag
    icon

    César
    el 2/2/19


    thumb_up0 voto/sflag
  • icon

    Leilyta Banegas
    el 2/2/19

    Hola Unicoos!
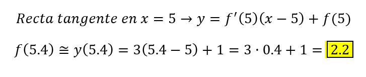
    Me pueden decir si el ejercicio 3 (a) está bien?
    desde ya gracias, saludos, Leily

    replythumb_up0 voto/sflag
    icon

    Antonio Silvio Palmitano
    el 2/2/19

    Has planteado, resuelto y representado gráficamente en forma correcta.

    Espero haberte ayudado.

    thumb_up0 voto/sflag