Hola alguien me podria ayudar hacer estas dos ecuaciones no lineales se hace por el metodo sustitucion es par
por que mañana tengo exmaen de esto y no se como se hace por favor ayudarme lo agradeceria es de 4 de la eso

y2-2y+1=x (1)
√x + y=5 (2)
Deshace el cambio y te queda;
√(y2-2y+1)=5-y => Eleva los dos miembros al cuadrado para eliminar la raiz => y2-2y+1=y2+25-10y => -2y+1=25-10y => 8y=24 => y=3
Sustituye en 1 el valor de "y" y obtienes que la x=4
El apartado b) es exactamente igual, pero ahora te toca a ti. Sigue mi explicación y obtendrás los resultados.
Espero haberte ayudado, un saludo ;)
Buenas tardes a todos agradezco de antemano a quienes puedan ayudarme a sumar esto sin usar sunatorias,de ser posible claro esta, yo hice esto pero quiero saber si es posible hacerlo de forma distinta.![]()

Tienes la suma:
S = ∑(1,99) ( √(n+1) - √(n) ).
Luego, puedes intentar plantear las sumas parciales en forma genérica, que es la tarea que has desarrollado tú en forma práctica cuando resolviste el ejercicio, para ello planteas los primeros elementos de la sucesión de sumas parciales, y queda:
S1 = a1 = √(2) - √(1) = √(2) - 1,
S2 = S1 + a2 = √(2) - 1 + √(3) - √(2) = √(3) - 1,
S3 = S2 + a3 = √(3) - 1 + √(4) - √(3) = √(4) - 1,
S4 = S3 + a3 = √(4) - 1 + √(5) - √(4) = √(5) - 1,
y puedes inferir que la expresión del elemento general de la sucesión de sumas parciales es
Sk = √(k+1) - 1;
luego, evalúas esta expresión para n = 99, y queda:
S99 = √(100) - 1 = 10 - 1 = 9.
Espero haberte ayudado.

Observa que tienes en tu enunciado "suma desde n = 1 hasta n = 99",
por lo que la expresión de la primera suma parcial surge al evaluar para n = 1, y consta de un término general evaluado;
y la expresión de la segunda suma parcial surge al evaluar para n = 2, y consta de dos términos generales evaluados;
y la expresión de la tercera suma parcial surge al evaluar para n = 3, y consta de tres términos generales evaluados;
y así siguiendo, hasta evaluar la última suma parcial, cuya expresión surge para evaluar para n = 99, que es el número de orden del último término general evaluado que tienes en la suma de tu enunciado, cuya expresión es: √(100)-√(99).
Espero haberte ayudado.

a)
Despejas x en la ecuación de la primera condición, despejas t en la ecuación dela segunda condición, y tienes:
x = -y + z (1),
t = y + z (2).
Luego, planteas la expresión de un vector genérico perteneciente al subespacio S, y tienes:
u = < x , y , z , t >, sustituyes las expresiones señaladas (1) (2) en la primera y en la cuarta componente, y queda:
u = < -y+z , y , z , y+z >, descompones como suma de dos vectores según los escalares y queda:
u = < -y , y , 0 , y > + < z , 0 , z , z >, extraes factores escalares en ambos términos, y queda:
u = y*< -1 , 1 , 0 , 1 > + z*< 1 , 0 , 1 , 1 >;
por lo que tienes que el vector genérico del subespacio es combinación lineal de los vectores remarcados,
y como dichos vectores son linealmente independientes (te dejo la tarea de demostrarlo), tienes que una base del subespacio S es:
B = { < -1 , 1 , 0 , 1 > , < 1 , 0 , 1 , 1 > },
y como el cardinal de esta base es: |B| = 2, puedes concluir que la dimensión del subespacio es dos.
b)
Observa que las coordenadas el vector w = < 3 , 0 , 3 , 3 > son:
x = 3, y = 0, z = 3, t = 3,
y puedes verificar que cumplen con las dos condiciones indicadas en la definición del subespacio S:
x + y - z = reemplazas valores = 3 - 0 - 3 = 0,
y + z - t = reemplazas = 0 + 3 - 3 = 0,
por lo que tienes que el vector w pertenece al subespacio S.
c)
Planteas la combinación lineal (observa que indicamos con < a , b , c , d > a un vector del subespacio expresado en base canónica de R4):
< a , b , c , d > = -1*< -1 , 1 , 0 , 1 > + 1*< 1 , 0 , 1 , 1 >,
resuelves los productos en ambos términos del segundo miembro, y queda:
< a , b , c , d > = < 1 , -1 , 0 , -1 > + < 1 , 0 , 1 , 1 >,
resuelves la suma vectorial en el segundo miembro, y queda:
< a , b , c , d > = < 2 , -1 , 1 , 0 >.
Espero haberte ayudado.
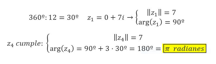
una pregunta en este ejercicio, me piden un argumento, el complejo esta justo en 90º y me piden z4 siendo z1=7i la respuesta seria 120º??

Tienes el número complejo imaginario puro expresado en forma binómica:
z1 = 7i,
y observa que su módulo es: |z1| = 7, y que su argumento, tal cuál dices, es: θ1 = 90°.
Luego, observa que los vértices del polígono regular de doce lados son las doce raíces de un número complejo z,
y observa que la separación angular entre dos radios sucesivos de dicho polígono es: 360°/12 = 30°, que a su vez es la diferencia angular entre los argumentos de dos raíces sucesivas, por lo que tienes:
θ2 = 90° + 30° = 120°,
θ3 = 120° + 30° = 150°,
θ4 = 150° + 30° = 180°;
por lo que tienes que el argumento del número complejo z4 es:
θ4 = π rad.
Espero haberte ayudado.
El primer mes se venderán los 2000 productos más un 2% adicional, es decir:
2000+2% de 2000 = 2000+ 2000·0.02= 2000·1.02= 2000·1.021
El segundo mes se venderán 2000·1.021·1.02 = 2000·1.022
El tercer mes se venderán 2000·1.022·1.02 = 2000·1.023
El cuarto mes se venderán 2000·1.024
y asi sucesivamente
por lo tanto la función de ventas pedida sería: v(n)= 2000·1.02n
El quinto mes se venderán 2000·1.025= 2208 productos
Para calcular el ingreso total en 10 meses debemos hallar los productos vendidos en total durante esos 10 meses, para ello tenemos que:
bien calcular los productos vendidos mes a mes y sumarlos,
bien calcular la suma de los 10 primeros términos de una progresión geométrica* de razón 1.02 y con a1=2040
*hay que fijarse que el número de productos vendidos cada mes sigue una progresión geométrica de razón 1.02 y a1=2040 pues son los vendidos el primer mes
nos saldrían 22337 productos que a razón de 100 € la unidad obtendríamos un ingreso total de 2233700€
1. Hallas los autovalores con la fórmula I A - λ x I I = 0 Significa det (matriz A - parámetro x matriz identidad). Resuelves la ecuación y hallas los valores del parámetro.
Es diagonalizable si dim(λ)=m(λ)=α(λ) para cada autovalor.
dim=nº incognitas - nº ecuaciones = m(λ)
α(λ) es el nº de veces que se repite el autovalor.
2. Hallas autovectores asociados a los autovalores y construyes una matriz C (4x4) con esos autovectores.
3. La matriz D=C ^-1x A x C
Hola,
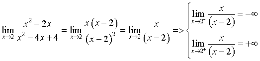
soy nueva en el foro y espero que este sea el lugar donde tengo que preguntar las dudas. Tengo mañana examen y tengo esta duda de límites. He visto los videos de límites de 0/0 y veo que hay que descomponer, pero este límite no lo puedo descomponer más, entonces qué hago??? el denominador al descomponerlo me sale una solución en la ecuación de segundo grado que es x=2, pero no sé seguir.
lim cuando x tiende a 2 de:
numerador: x2-2x
denominador: x2-4x+4
muchas gracias!
gracias por la respuesta, pero sigo sin saber hacerlo. ESe video ya lo vi pero no sé cómo seguir en este límite.
osea cuando al factorizar la ecuación de segundo grado sólo te da una respuesta en vez de dos, ¿eso como se pone factorizado?
la ecuación (x2 -4x+4) al factorizar sólo me da una respueta que es x=2. en Entonces, cómo pongo la ecuación factorizada si sólo tengo una respuesta? en clase no nos han explicado l´hopital, así que por ese método no tendré que hacerlo