Resolví aquél límite, pero me surgió la duda de si es posible resolverlo por la forma polinomial de la expresión, si es posible,¿Cómo se podría trabajar?¿O no se puede?![]()

Vamos con una orientación.
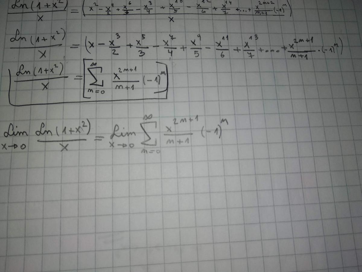
Planteas el desarrollo de ln(1+u) alrededor de u0 = 0 que seguramente ya has visto en clase, y queda:
ln(1+u) = ∑(n=0,∞) (-1)n*un+1/(n+1)!.
Luego, aplicas la sustitución: u = x2, y queda:
ln(1+x2) = ∑(n=0,∞) (-1)n*(x2)n+1/(n+1)! = ∑(n=0,∞) (-1)n*x2n+2/(n+1)!.
Luego, considera el primer miembro y el último miembro de la cadena de igualdades, y tienes la ecuación:
ln(1+x2) = ∑(n=0,∞) (-1)n*x2n+2/(n+1)!.
Luego, divides por x en ambos miembros de esta última ecuación, y queda:
ln(1+x2) / x = ∑(n=0,∞) (-1)n*x2n+2/(n+1)! / x = ∑(n=0,∞) (-1)n*(x2n+2/x)/(n+1)! = ∑(n=0,∞) (-1)n*x2n+1/(n+1)!.
Luego, observa que todos los términos de la suma infinita tienen grado impar mayor o igual que 1, por lo que tienes que todos los términos de la suma infinita tienden a 0 cuando x tiende a cero, por lo que puedes inferir que el límite de tu enunciado es igual a cero.
Espero haberte ayudado.
Buenos días, ¿me podrían ayudar a resolver el siguiente ejercicio? Gracias.
Una cuadrilla de 30 obreros debe hacer una obra en 30 d.as. Transcurridos 12 d.as
desde el comienzo de ésta, se incorporan a la cuadrilla 6 obreros más. ¿Cuánto tiempo durará la obra?:
p.p1 {margin: 0.0px 0.0px 0.0px 0.0px; font: 12.0px Helvetica}
Tienes la ecuación:
(1/4)*(x+6)2 - (4x+8) = (x-6)2,
multiplicas por 4 en los tres términos de la ecuación, resuelves el coeficiente en el primer término, y queda:
(x+6)2 - 4*(4x+8) = 4*(x-6)2,
distribuyes el segundo término, y queda:
(x+6)2 - 16x - 32 = 4*(x-6)2,
desarrollas los binomios elevados al cuadrado, y queda:
x2 + 12x + 36 - 16x - 32 = 4*(x2-12x+36),
reduces términos semejantes en el primer miembro, distribuyes el segundo miembro, y queda:
x2 - 4x + 4 = 4x2 - 48x + 144,
restas 4x2, sumas 48x y restas 144 en ambos miembros, y queda:
-3x2 + 44x - 140 = 0,
multiplicas por -1 en todos los términos de la ecuación, y queda:
3x2 - 44x + 140 = 0,
que es una ecuación polinómica cuadrática, cuyas soluciones son:
x1 = ( 44-√(256) )/6 = (44-16)/6 = 28/6 = 14/3,
x2 = ( 44+√(256) )/6 = (44+16)/6 = 60/6 = 10.
Espero haberte ayudado.

3)
Puedes llamar x al número cuyo valor debes determinar.
Luego, observa que puedes plantear la ecuación:
0,32*x - 0,05*(2x) = 396, resuelves el segundo término, y queda:
0,32*x - 0,1*x = 396, reduces términos semejantes en el primer miembro, y queda:
0,22*x = 396, divides por 0,22 en ambos miembros, y queda:
x = 1800, por lo que tienes que la opción (b) es la respuesta correcta
4)
Tienes la ecuación polinómica cuadrática con coeficientes (A, B, C) indeterminados:
25*x2 - 10k*x + (11k+12) = 0,
cuyos coeficientes son: A = 25, B = -10k, C = 11k+12.
Luego, planteas la expresión del discriminante de la ecuación, y queda:
D = B2 - 4*A*C, sustituyes expresiones, y queda:
D = (-10k)2 - 4*25*(11k+12), resuelves el primer término, distribuyes y resuelves el segundo término, y queda:
D = 100k2 - 1100k - 1200 (1).
Luego, planteas la condición de existencia de una raíz real única (llamada raíz doble) de la ecuación, y queda:
D = 0, sustituyes la expresión señalada (1), y queda:
100k2 - 1100k - 1200 = 0, divides por 100 en todos los términos de la ecuación, y queda:
k2 - 11k - 12 = 0,
que es una ecuación polinómica cuadrática cuyas soluciones son:
k1 = ( 11-√(169) )/2 = (11-13)/2 = -2/2 = -1,
k2 = ( 11+√(169) )/2 = (11+13)/2 = 24/2 = 12;
por lo que tienes que la opción señalada (c) es la respuesta correcta.
Espero haberte ayudado.

5)
Observa que tienes tres precios a considerar:
x = a determinar (precio de lista del televisor);
x - 0,20*x = 0,80*x (precio de la oferta),
0,80*x + 0,05*(0,80*x) = 0,80*x + 0,4*x = 0,84*x (precio de la oferta si se paga con tarjeta de crédito).
Luego, con el último dato de tu enunciado, puedes plantear la ecuación:
0,84*x = 20160, divides por 0,84 en ambos miembros, y queda:
x = $ 24000;
por lo que tienes que la opción (a) es la respuesta correcta.
6)
Puedes llamar x al número cuyo valor debes determinar, y luego planteas la ecuación:
(1/2)*x2 + 2*(x+1)2 = 194,
multiplicas por 2 en todos los términos de la ecuación (¡es saludable no lidiar con fracciones!), y queda:
x2 + 4*(x+1)2 = 388,
desarrollas el binomio elevado al cuadrado en el segundo término, y queda:
x2 + 4*(x2 + 2x + 1) = 388,
distribuyes el segundo término, y queda:
x2 + 4x2 + 8x + 4 = 388,
reduces términos cuadráticos, y queda
5x2 + 8x + 4 = 388,
restas 388 en ambos miembros, y queda:
5x2 + 8x - 384 = 0,
que es una ecuación polinómica cuadrática, cuyas soluciones son:
x1 = ( -8-√(7744) )/10 = (-8-88)/10 = -96/10 = -48/5,
x2 = ( -8+√(7744) )/10 = (-8+88)/10 = 80/10 = 8;
por lo que tienes que la opción (b) es la respuesta correcta.
Espero haberte ayudado.
Hola,
en las despensas de mi escuela no explica casi nada sobre los vectores.. menos alguna formula pero no dice como aplicarla.
estoy intentando hacer estos dos ejercicios buscando en internet, pero no lo consigo, me podrían ¿ayudar?
Ejercicio 1:
Dada la recta 5x + 2y – 4 = 0:
a) Halla la ecuación explícita y las paramétricas;
b) Determina el ángulo que forma la recta con el sentido positivo del eje de abscisas.
Ejercicio 2:
Dada la recta r: −x − 3y + 9 = 0 encuentra las ecuaciones de las siguientes rectas:
a) Paralela a r que pasa por P(3, −1)
b)Perpendicular a r y que dista 7√10 del punto P(3,−1).
Muchisimas gracias.
compañía especializada en flota de submarinos, busca mejorar la eficiencia de sus operaciones .Actualmente queremos optimizar las rutas y la carga de carga de nuestra flota, ya que tenemos submarinos heterogéneos con diferentes tamaños de carga. Buscamos una solución que nos brinde recomendaciones sobre carga y rutas.
Gestionamos una flota de 500 submarinos que mueve la carga entre nuestras 3 instalaciones principales y 50 destinos fijos. Nuestra carga tiene 3 tamaños (M, L y XL, XL = 2L, L = 2M) pero todos empaquetados en cubos perfectos. Nuestra flota tiene 3 cargas diferentes: 60M, 500M y 5000M.
¿Me podriais ayudar a ver como lo distribuirais vosotros, la carga y las rutas por favor de la manera mas eficiente por favor?
Muchas gracias

Es posible pueda ayudarte este video (y el que le sigue)
Programación lineall - Transporte 01
A partir de ahí, se trata de que DESPUES DE IR A CLASE (ver los vídeos
relacionados con vuestras dudas) enviéis dudas concretas, muy concretas. Y que
nos enviéis también todo aquello que hayais conseguido hacer por vosotros
mismos. Paso a paso, esté bien o mal. No solo el enunciado. De esa manera
podremos saber vuestro nivel, en que podemos ayudaros, cuales son vuestros
fallos.... Y el trabajo duro será el vuestro. Nos cuentas ¿ok? #nosvemosenclase
;-)