
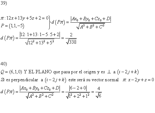
Observa que el valor obtenido con el desarrollo del colega César es:
d(P,π) = 2/√(338) = [√(2)]2/√(2*169)) = [√(2)]2/[√(2)*√(169)] = [√(2)]2/[√(2)*13] = simplficas = √(2)/13,
por lo que tienes que el valor consignado por el colega César es igual al valor consignado en el solucionario de tu libro.
Espero haberte ayudado.
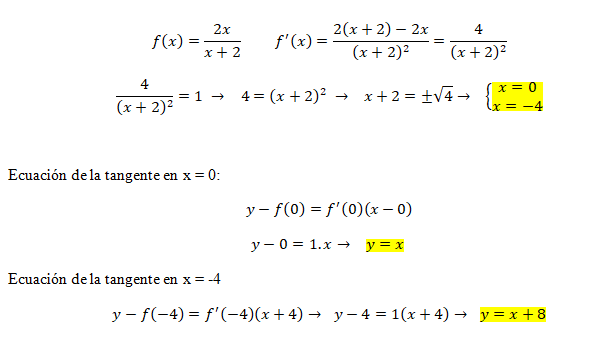
Hola, estoy viendo limites y me dejaron este ejercicio que la verdad no logro entender muy bien. SI alguien me puede ayudar se lo agradeceria
Hola !!
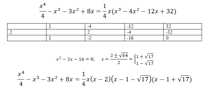
Me podría ayudar con la factorización de esta función ( polinomio ), me refiero a emplear ruffini o factor común o ecuación de segundo grado...
Y si no le importa me podría lo puede representar gráficamente.
Esta es la función:
Gracias, por ayudarme.