Foro de preguntas y respuestas de Matemáticas

logo beUnicoos
Los foros de unicoos se han unificado en nuestra nueva plataforma beUnicoos. Para dejar nuevas preguntas deberás hacerlo allí, donde además podrás encontrar nuevas asignaturas y herramientas para ayudarte más con tus estudios.

  • icon

    Gregory Steven Torres Torres
    el 30/11/18

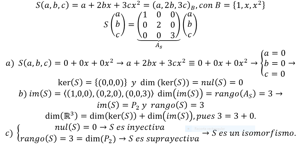
    Hola, tengo un problema de Transformaciones lineales que no puedo resolver. Alguien que sepa de esto?. Desde ya, muchas gracias.

    replythumb_up0 voto/sflag
    icon

    Antonius Benedictus
    el 30/11/18


    thumb_up1 voto/sflag
  • icon

    Maxi Mate
    el 30/11/18

    holaa. Alguien me puede ayudar con este problema:

    gracias

    replythumb_up0 voto/sflag
    icon

    Antonius Benedictus
    el 30/11/18

    Revisa el enunciado: son dos curvas.

    thumb_up1 voto/sflag
  • icon

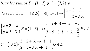
    Belen
    el 30/11/18

    Hola alguien puede ayudarme con este ejercicio , 1 - Sean los puntos P=(1,-3) y Q(= 3,2) y la recta L:X = &( 1 , -3) + (2 , 5) , averiguar si  P y/o Q pertenecen o no a L 


    replythumb_up0 voto/sflag
    icon

    César
    el 30/11/18


    thumb_up0 voto/sflag
  • icon

    Niieves Triguero
    el 30/11/18

    Me gustaría saber cuál sería el dominio de la siguiente función f(x,y)=((sen²(x+1))^(1/2),(2y+1)^(1/2),ln(x/y))

    replythumb_up0 voto/sflag
    icon

    Antonio
    el 30/11/18

    fíjate que (sen²(x+1))^(1/2)=(sen²(x+1))=sen(x+1) cuyo dominio es 

    por otro lado (2y+1)^(1/2)=(2y+1) con lo que (2y+1)0 por lo que y-1/2

    y por último ln(x/y) con lo que x/y>0 por lo que y≠0 y ambas variables con el mismo signo

    como conclusión tenemos que el dominio de f es:

    y-1/2 ^ xy>0



    thumb_up0 voto/sflag
  • icon

    Antonio
    el 30/11/18
    flagflag

    Estoy teniendo problemas a la hora de realizar suma de filas y suma columnas.

    Lo que tengo que hacer es sumar la FILA 1 con FILA 2 . Y COLUMNA 1 con COLUMNA 2


    Tengo problemas en las celdas 1,1 1,2 2,1 2,2 3,1 3,2 2,3 y 1,3

    Y pasaría a tener únicamente 10 filas y 10 columnas (ahora la matriz de la imagen es 11x11) comprimiendo en una sola fila las F1 Y F2 y en una sola columna las C1 y C2


    No tiene nada que ver con los vídeos el problema en general, por lo que me daréis flag (y por eso no pongo el enunciado completo). Tengo dudas en sumar la FILA 1 con FILA 2 . Y COLUMNA 1 con COLUMNA 2.

    La matriz después de realizar las operaciones quedaría mas o menos asi:


    replythumb_up0 voto/sflag
    icon

    David
    el 12/12/18

    Lo siento pero no tengo ni idea de a qué se refiere este ejercicio, ni siquiera de que tema o asignatura es... Lo siento...

    thumb_up0 voto/sflag
  • icon

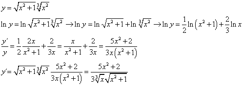
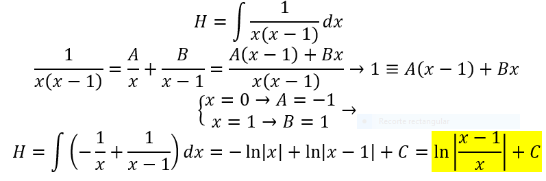
    umayuma
    el 30/11/18

    Hola unicoos,alguien que me ayude a comprender el porque del signo negativo del resultado,el 2 en 2 ln x-1 y porque u+ en u+ ln u,¿viene de u+1?

    Muchas gracias de antemano.

    replythumb_up0 voto/sflag
    icon

    Antonius Benedictus
    el 30/11/18

    Esa integral está mal hecha. No es con cambio de variable:


    thumb_up0 voto/sflag
    icon

    umayuma
    el 30/11/18

    No la hice yo,puede enseñarme como se hace,por favor?

    thumb_up0 voto/sflag
  • icon

    Carmen
    el 30/11/18

    Buenos días, 

    por favor, me podéis ayudar con estos ejercicios?




    Gracias!!!

    replythumb_up0 voto/sflag
    icon

    César
    el 30/11/18


    thumb_up0 voto/sflag
    icon

    Antonius Benedictus
    el 30/11/18


    thumb_up0 voto/sflag
    icon

    César
    el 30/11/18


    thumb_up0 voto/sflag
  • icon

    Cinthia LV
    el 30/11/18

    Saludos unicoos 

    Por favor podrían ayudarle con la 1( la y b) 

    Muchas gracias cracks ^^

    replythumb_up0 voto/sflag
    icon

    Antonius Benedictus
    el 30/11/18


    thumb_up1 voto/sflag
    icon

    Cinthia LV
    el 30/11/18

    Muchas gracias en vdd

    Disculpe la molestia voy en primer ciclo 

    Me podría recomendar un buen libro sobre todo que tenga ejemplos de este tipo y algunos problemas con nivel 

    Muchas gracias de antemano 

    thumb_up0 voto/sflag
    icon

    Antonius Benedictus
    el 30/11/18


    thumb_up0 voto/sflag