La foto no la puedo subir. el enunciado original es el siguiente:
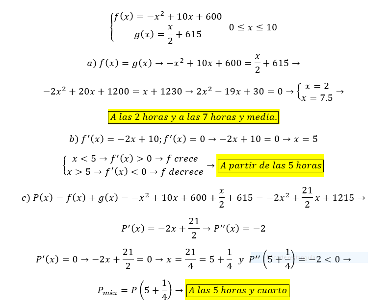
Dos fuentes de energía producen electricidad a la vez durante 10 horas, según las funciones f(x)= -x2 +10x+600 g(x)= x/2+615 0≤x≤10
a) ¿En qué momento están produciendo la misma cantidad de energía las dos fuentes?
b) ¿En qué intervalo es decreciente la producción de la primera fuente?
c) ¿En qué momento es máxima la producción conjunta de las dos fuentes?
Hola! Tengo una duda en el apartado c) del siguiente ejercicio:
f(x)= -x2 +10x+600 g(x)= x/2+615 0≤x≤10 Dos fuentes de producción de energía que trabajan a la vez durante 10 horas.
C) ¿En qué momento es máxima la producción conjunta de las dos fuentes?
Muchas gracias
no se como se hace desde el 1 al 3 es con movimiento rectilineo uniforme o como me ayudaria mucho una explicacion muchas gracias de antilacion

Te recomiendo veas los vídeos de caída libre que hay en la web. También te digo que los enunciados no se ven muy bien.
Échales un vistazo y nos cuentas ok?
Tiro Vertical - Caída libreHola. Por favor alguien me puede ayudar con este ejercicio. Sea el punto P(-3, 3π/2, π/4) obtenga la terna principal y grafique. Indique en el octante en que se encuentra.
Yo creo que lo resolvi pero nose si esta bien.
P(-3, 3π/2, π/4) = (-3, 270°, 45°) se restan 180°
P(3, 90°, 45°)
Graficando me indica que el punto está sobre el plano yz.

Lamento de todo corazon no poder ayudarte, pero unicoos (por ahora) solo
llega hasta bachiller con matemáticas, física y química. Tu duda se da en la
"uni". Espero lo entiendas... Como a veces hago alguna excepción y
además hay muchos enlaces de teoría y ejercicios resueltos, te recomiendo le
eches un vistazo a la seccion MATEMATICAS, UNIVERSIDAD de la web
hola. alguien me puede ayudar con este problema, no encuentro la forma de llegar al resultado...
Una circunferencia de radio r=1 se mueve rodando sobre el eje de abscisas. En
cada posición de la circunferencia se traza la tangente no horizontal a la
misma que pasa por el origen O de coordenadas y que corta en M a la vertical
que pasa por su centro C. Por M se traza la segunda tangente a la
circunferencia (simétrica de la anterior OM respecto a la vertical CM) y que
corta en A al eje OX.
a) Hallar la ecuación del
lugar geométrico de los puntos M.
b) Dibujar su gráfica.
c) Demuestre que la recta AC, para todas las posiciones de la circunferencia, pasa por un punto fijo.
(se puede usar identidades trigonométricas)
R - a) F(x)= 2x / x – 1
R – c) Todas las rectas pasan por el punto (0; 2)
MUCHAS GRACIAS

Lamento de todo corazon no poder ayudarte, pero unicoos (por ahora) solo
llega hasta bachiller con matemáticas, física y química. Tu duda se da en la
"uni". Espero lo entiendas... Como a veces hago alguna excepción y
además hay muchos enlaces de teoría y ejercicios resueltos, te recomiendo le
eches un vistazo a la seccion MATEMATICAS, UNIVERSIDAD de la web
Hola ¿como estan? necesitaría ayuda con este ejercicio.
Hallar el dominio, los intervalos de crecimiento y decrecimiento y los máximos y mínimos relativos de f(x)=ln(x+3) - (1/5)x + 9
El dominio me da (-3,∞) pero ahí me quedé
Desde ya muchas gracias