Foro de preguntas y respuestas de Matemáticas

logo beUnicoos
Los foros de unicoos se han unificado en nuestra nueva plataforma beUnicoos. Para dejar nuevas preguntas deberás hacerlo allí, donde además podrás encontrar nuevas asignaturas y herramientas para ayudarte más con tus estudios.

  • icon

    María Ribeiro
    el 25/11/18

    Hola, puede explicarme alguien como se resuelve esta igualdad trigonométrica, por favor? 

    replythumb_up0 voto/sflag
    icon

    Antonius Benedictus
    el 25/11/18


    thumb_up0 voto/sflag
  • icon

    Rafa Jiménez
    el 25/11/18

    Hola! ¿Cómo se plantearía este ejercicio?

    Un hotel tiene 250 habitaciones; diariamente, por término medio, no llegan el 4% de los clientes con reservas; por ello, diariamente se admiten hasta 265 reservas. ¿Cuál es la probabilidad de 'overbooking'? ¿Cuántas reservas podrían admitirse diariamente para poder atender a todos los clientes con probabilidad no inferior al 98%?

    replythumb_up0 voto/sflag
    icon

    Antonius Benedictus
    el 25/11/18


    thumb_up0 voto/sflag
  • Usuario eliminado
    el 24/11/18

    Hola, no sé cómo realizar este ejecicio. ¿Alguien me podría ayudar? Gracias.


    replythumb_up0 voto/sflag
    icon

    Antonius Benedictus
    el 25/11/18


    thumb_up1 voto/sflag
  • icon

    Tan87
    el 24/11/18

    Como se hace el 10????

    replythumb_up0 voto/sflag
    icon

    Antonius Benedictus
    el 25/11/18


    thumb_up1 voto/sflag
  • icon

    anaespo
    el 24/11/18

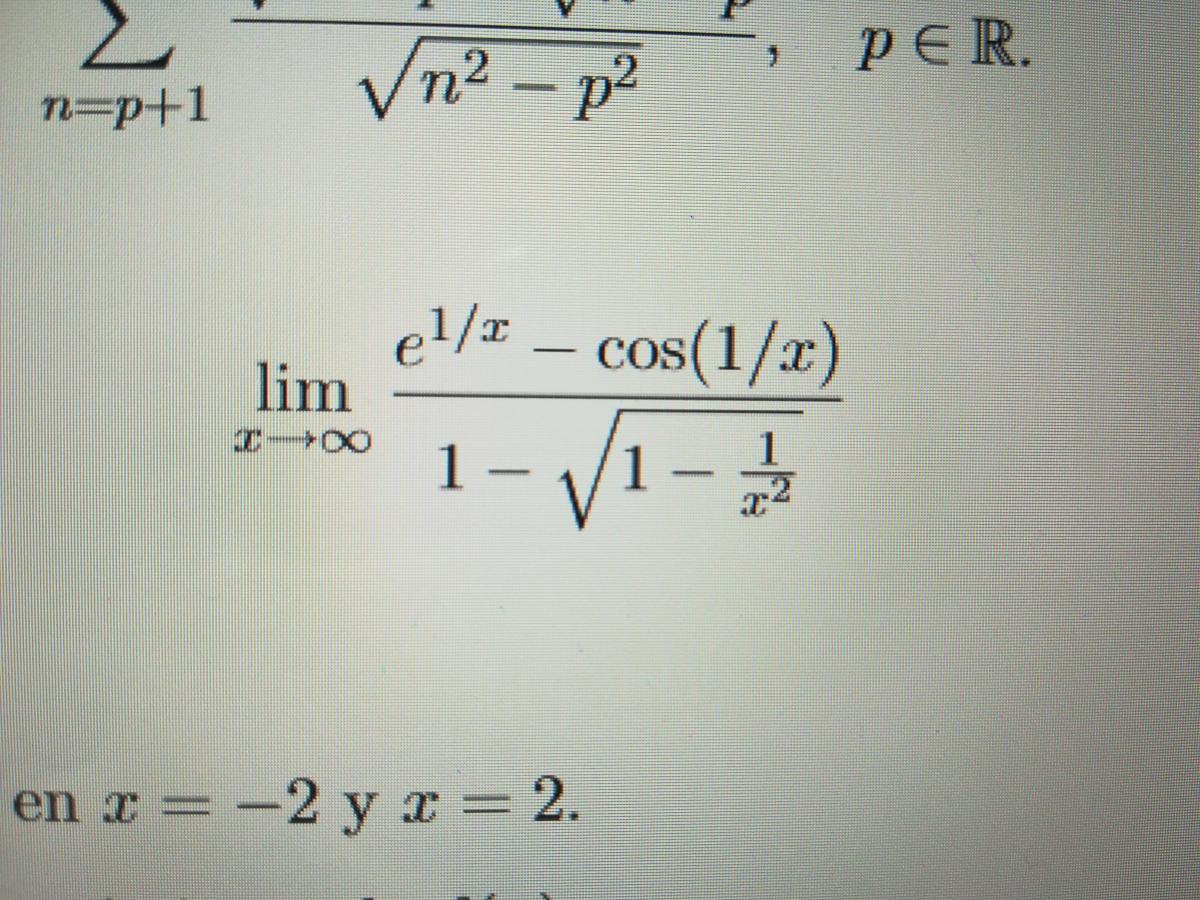
    Cómo se hace este límite??


    replythumb_up0 voto/sflag
    icon

    Antonius Benedictus
    el 25/11/18


    thumb_up0 voto/sflag
  • icon

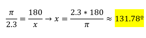
    Sebastián González
    el 24/11/18

    Como se pasa 2'3 rad en grados? En el libro me pone 131,78°. Pero a mi me sale 414° xD porfa. Y gracias de antemano!

    replythumb_up0 voto/sflag
    icon

    Antonius Benedictus
    el 24/11/18


    thumb_up0 voto/sflag
  • icon

    anaespo
    el 24/11/18

    Cómo se hace este límite??


    replythumb_up0 voto/sflag
    icon

    Antonius Benedictus
    el 24/11/18

    Foto del enunciado original, por favor.

    thumb_up0 voto/sflag
  • icon

    Fabian
    el 24/11/18

    Muy buenas, ¿podrían ayudarme con el ejercicio número 31?

    replythumb_up0 voto/sflag
    icon

    Antonius Benedictus
    el 24/11/18


    thumb_up1 voto/sflag