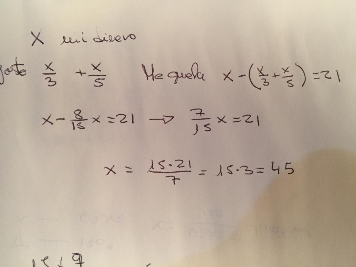
No se como hacer este ejercicio, sé hacerlo sin letras, alguien podría hacérmelo para ver como hacerlo gracias.
¿cual es el valor de m para que el resto de la división del polinomio x3+mx2-2x+m entre x-1 sea 1?
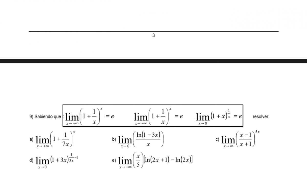
Hola. No sé muy bien como hacer los ejercicios 9 y 10. Son los dos de optimización. ¿Podríais ayudarme?
Muchas gracias
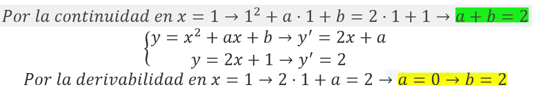
Hola podeis ayudarme con las asintotas ,la monotonia , maximos y minimos relaticos , curvatura y puntos de inglexion de esta función (x^2 + 16 )/ x ...ya he calculado el dominio tegiones simetrias y periodicidad, pero no se como hacer lo dema

¡Hola! Nos encantaría ayudarte, pero no solemos responder dudas universitarias que no tengan que ver específicamente con los vídeos que David Calle ha grabado como excepción. O de otras asignaturas que no sean Matemáticas, Física y Química. Lo sentimos de corazón… Esperamos que lo entiendas.
Ojalá algún unicoo universitario se anime a ayudarte (de hecho, lo ideal es que todos los universitarios intentarais ayudaros los unos a los otros).
Buenas tarde, alguien me podría responder como plantear el siguiente ejercicio:
Con f(x)=ln(x+b) consigue:
- el valor de b, siendo 2 el valor de la tasa de variación media en [0,2].
El resultado es b=2/3 pero no he conseguido llegar a la respuesta. Muchas gracias.