#Distribución_binomial
Necesito de su ayuda #Unicoos
De entre los trabajadores que se encuentran en continua capacitación, se desea conocer el porcentaje de los
empleados que aprueban, si únicamente se sabe que en un grupo de 3 trabajadores la probabilidad que ninguno de
ellos apruebe es de 0.729 y se parte del supuesto que el desarrollo y desempeño en la capacitación de cada empleado
no influye en la de los demás compañeros de capacitación.
Buenas ...
Estoy haciendo una función para representarla y estoy intentando sacar si tiene máximo y mínimo pero no lo consigo.
me podríais echar una mano y ayudarme con ese apartado. Es que al tener Ln(x) lo intento igualar a 0 para sacar (si hay) los puntos y no se como.
Os adjunto la función y la derivada que yo he echo y que estoy igualando a 0 ...
Gracias !!
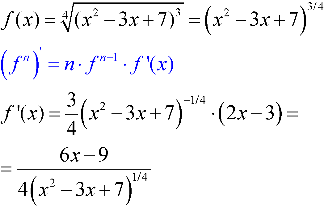
Hola!! Me podriais explicar como queda el exponente dentro de la raíz en estos casos?? En el ejemplo de la foto pensé meter un tres dentro(n-1) y sumarlo con el tres que ya esta dentro de antes ,con lo que me quedaría elevado a 6 , pero no estoy para nada seguro .
Saludos :D

Simplemente se usa la propiedad que dice a^(n/m)=m^√(a^n). Usando esta propiedad, luego solo nos quedaría usar la regla de la derivada de una función elevada a un exponente, para finalmente aplicar la regla de la cadena... Es mejor que veas el ejercicio resuelto:

Muchas gracias Yauset , me ayudaste con esta y la anterior duda, te lo agradezco mucho , si no te importa te hago otra pregunta :D
Entiendo como lo hiciste , seguramente sea la manera más sencilla , pero en el caso de que quisiera hacerla directamente , mediante la formula de la imagen , según esa formula debería hacer 4 que sería n menos 1 , con lo que me entraría un tres dentro de la raíz , dándome diferente a tu resultado ( siendo el tuyo el correcto claro) . Estoy haciendo o interpretando mal la formula en esa parte ??
En primer lugar hacemos la indefinida
el cambio sería x=sen u
por lo tanto
dx=cos u du
u=arcosen x
entonces ∫ √(1-x2)dx=∫ √(1-sen2u)cosu du=∫ √(cos2u)cosu du=∫ cosu·cosu du=∫ cos2u du=
=∫ [1+cos(2u)]/2 du=1/2[∫ 1du+∫ cos(2u)] du=
=1/2[u+1/2sen(2u)]+C=u/2+1/4sen(2u)+C=(arcosen x)/2+1/4sen(2arcsenx)+C
Espero no haber metido la pata
Para calcular la definida
F(0)=(arcosen 0)/2+1/4sen(2arcsen0)+C=0/2+1/4sen(2·0)+C=0+1/4sen(0)+C=0+C
F(1)=(arcosen 1)/2+1/4sen(2arcsen1)+C=(π/2)/2+1/4sen(2π)+C=π/4+1/4·0+C=π/4+C
Restando
F(1)-F(0)=π/4
Alguien me puede decir como se haría el log en base x de 256= - 8

Tienes la ecuación logarítmica:
logx(256) = 8, aplicas la definición de logaritmo en base x, y queda:
x8 = 256, expresas al segundo miembro como potencia de 2, y queda:
x8 = 28, comparas las bases de de las potencias (observa que los exponentes son iguales), y queda:
x = 2.
Espero haberte ayudado.
Alguien sabe porque en este ejercicio el 29, a la hora de hacer cramer elige como parámetro la x y no la z? (Si eliges la z no da lo mismo)![]()
![]()

Te ayudo con la discusión de la compatibilidad o incompatibilidad del sistema.
Tienes un sistema de tres ecuaciones lineales, de primer grado y con tres incógnitas, cuyo determinante es:
D =
2 1 0
1 1 -2
3 1 a;
desarrollas el determinante, y queda
D = (2a-6+0)-(0+a-4) = 2a-6-a+4 = a-2.
Luego, tienes dos casos:
1°)
Si: a - 2 ≠ 0, que corresponde a: a ≠ 2,
tienes que el sistema es compatible determinado y tiene solución única.
2°)
Si: a - 2 = 0, que corresponde a: a = 2,
tienes que el sistema puede ser compatible indeterminado (con infinitas soluciones) o incompatible (sin solución),
por lo que pasamos a estudiarlo con el Método de Gauss, y para ello planteamos su matriz ampliada:
2 1 0 1
1 1 -2 1
3 1 2 b;
permutas la primera fila con la segunda, y queda:
1 1 -2 1
2 1 0 1
3 1 2 b;
a la segunda fila le restas el doble de la primera, a la tercera fila le restas el triple de la primera, y queda:
1 1 -2 1
0 -1 4 -1
0 -2 8 (b-3);
a la segunda fila la multiplicas por -1, y queda:
1 1 -2 1
0 1 -4 1
0 -2 8 (b-3);
a la primera fila le restas la segunda, a la tercera fila le sumas el doble de la segunda, y queda:
1 0 2 0
0 1 -4 1
0 0 0 (b-1);
luego, observa que tienes dos opciones:
a)
Si b - 1 ≠ 0, que corresponde a: b ≠ 1, tienes que el sistema es incompatible y no tiene solución;
b)
Si b - 1 = 0, que corresponde a: b = 1, tienes que el sistema es compatible indeterminado y tiene infinitas soluciones.
Espero haberte ayudado.

Observa que si consideras la ecuación:
x2 + (y+3)2 = 1,
entonces tienes una circunferencia con centro: C(0,-3), y radio: R = 1.
Luego, en la condición que cumplen los puntos del dominio de la función, tienes la inecuación:
1 - x2 - (y+3)2 > 0,
restas 1 en ambos miembros de la inecuación, y queda:
-x2 - (y+3)2 > -1,
multiplicas por -1 en todos los términos de la inecuación (observa que cambia la desigualdad), y queda:
x2 + (y+3)2 < 1,
que es una inecuación cuya gráfica está formada por los puntos que pertenecen a un disco circular con centro en el punto C(0,-3) y cuyo radio es: R = 1 (observa que con el signo "menor" entendemos: radio "menor" que 1, y eso nos ubica en el interior del círculo, y observa también que la frontera de este disco no pertenece a la gráfica, porque la inecuación está expresada mediante una desigualdad estricta).
Espero haberte ayudado.
calcula todos los puntos de equilibrio del siguiente modelo binomial
f(x,y)=4x[1+(0,01y/0,5)]^(-0,5)
g(x,y)=x[1-(1+0,01y/0,5)^(-0,5)]
Alguien sería tan amable de ayudarme, yo sé que un punto de equilibrio es el (0,0) pero el otro no logro calcularlo. Gracias :)

Hola! Me encantaría ayudarte, pero no respondo dudas universitarias que no tengan que ver específicamente con los videos que ya he grabado como excepcion. O de otras asignaturas que no sean matemáticas, física y química. Lo siento de corazón… Espero lo entiendas
Ojalá algun unicoo universitario se anime a ayudarte (de hecho lo ideal es que todos los universitarios intentarais ayudaros los unos a los otros)