Foro de preguntas y respuestas de Matemáticas

logo beUnicoos
Los foros de unicoos se han unificado en nuestra nueva plataforma beUnicoos. Para dejar nuevas preguntas deberás hacerlo allí, donde además podrás encontrar nuevas asignaturas y herramientas para ayudarte más con tus estudios.

  • icon

    angel martinez
    el 30/10/18

    Se corta una esfera de 50 cm de diámetro por dos planos paralelos a 8 cm y 15 cm del centro respectivamente .halla el volumen de la porción de la esfera comprendida entre ambos planos.

    la porción de la esfera la calculo ,restando el volumen de la porción del cilindro y volumen del tronco de cono  ¿ que formulas utilizo ?  ¿ como se las medidas del tronco del cono ?

    replythumb_up0 voto/sflag
    icon

    César
    el 30/10/18

    Aunque de distintas dimensiones te puede valer . Es idéntico.


    thumb_up0 voto/sflag
    icon

    César
    el 30/10/18


    thumb_up0 voto/sflag
    icon

    César
    el 30/10/18


    thumb_up0 voto/sflag
  • icon

    angel martinez
    el 30/10/18

    ¿diferencia entre casquete ,zona y porción esférica? 

    replythumb_up0 voto/sflag
    icon

    Antonius Benedictus
    el 30/10/18

    https://www.geoka.net/poliedros/esferas.html


    thumb_up0 voto/sflag
  • icon

    Octavio Díaz
    el 30/10/18

    Se tienen 2 urnas A y B. En la A hay 3 bolas blancas y 2 negras. En la B hay 4 bolas blancas y 5 negras. Hallar:

    a) Probabilidad de que al coger una bola de A y otra de B sean iguales.

    b) Probabilidad de que al coger 2 bolas de A sea la 1ª blanca y la 2ª negra.


    Perdonad, estoy con las mates de 2º bachillerato y soy un poco corto para esto, no consigo enterderlo. Muchas gracias

    replythumb_up0 voto/sflag
    icon

    César
    el 30/10/18


    thumb_up1 voto/sflag
  • icon

    Wilberth Matos Tuncar
    el 30/10/18


    replythumb_up0 voto/sflag
    icon

    César
    el 30/10/18

    Integral ciclica   https://www.youtube.com/watch?v=X99YVpu_kK4

    https://es.symbolab.com/solver/equation-calculator/%5Cint%20e%5E%7B%5Cleft(-2x%5Cright)%7Dsin%5Cleft(5x%5Cright)

    thumb_up0 voto/sflag
  • icon

    angel martinez
    el 30/10/18

    buenos días! tengo una duda en relación a los volúmenes de figuras geométricas,Es un cilindro ,en su parte de arriba acaba con una semiesfera y la parte de abajo con un cono,si calculo las áreas por separado ,¿ las bases del cilindro se duplican??? ¿ en relación con la altura ¿debo elegir la total de la figura ? Muchas Gracias

    Soy padre y nuevo,alguien me puede recomendar un ebook para mates de tercero y cuarto de la ESO.

    replythumb_up0 voto/sflag
    icon

    César
    el 30/10/18

    La unión del cono y el cilindro solo tendrán una base. Lo miso con la semiesfera y el cilindro.


    thumb_up1 voto/sflag
  • icon

    CBC Group
    el 30/10/18

    1.       En una investigación de conocimiento sobre exportación de espárragos, se requiere de una aptitud mental muy alta. Para esto, los especialistas en exportación se sometieron a una prueba del coeficiente de intelecto (IQ) con una media de 120 puntos y una desviación estándar poblacional de 20 puntos.

     

    a)      Responda a las siguientes preguntas. (2puntos)

     

    ·         Identifique la variable aleatoria: _______________________________________ (0.5 punto)

     

    ·         Anote los parámetros: _______________________________________________ (0.5 punto)

     

    ·         ¿Cuál es la probabilidad de que un especialista en exportación seleccionado tenga un coeficiente de intelecto entre 80 y 140 puntos? (expresar en %): (1 punto)

     

     

    b)      Determine el puntaje del coeficiente intelectual que se debe proyectar al 15% de los especialistas en exportación con los mayores puntajes. (2puntos)

    Calcula correctamente la probabilidad y realiza la comparación (1 punto)

    Determina el puntaje correcto (1 punto)

    replythumb_up0 voto/sflag
    icon

    Antonio
    el 30/10/18

    Identifique la variable aleatoria: coeficiente de intelecto

    Anote los parámetros: media de 120 puntos y una desviación estándar poblacional de 20 puntos

    P(80Z140-120/20)=P(-2Z1)=P(Z1)-P(Z-2)=0.84-0.02=0.8282%

    sería a donde P(Xa)=0.15 => P(Xa)=0.85 => P(Za-120/20)=0.85 => a-120/20=1.04 =>140.8 de coeficiente


    thumb_up0 voto/sflag
  • icon

    Adrian
    el 30/10/18

    Buenas noches a todos, estoy tratando de entender ese ejercicio de longitud pero no logro entender que hizo el profesor, porque cambio de X=0 Hasta X=7 a X=0 Hasta X=2 y que como íntegro.  Si alguien lo entiende le agradecería una breve explicación gracias 

    replythumb_up0 voto/sflag
    icon

    Antonius Benedictus
    el 30/10/18

    Es casi igual (salvo la constante 1/7  multiplicando):


    thumb_up1 voto/sflag
    icon

    Adrian
    el 30/10/18

    Hola Antonio, en la condigna dice entre x=0 y x=1, porque casi al final haces entre x=0 a x=2?

    thumb_up0 voto/sflag
  • Usuario eliminado
    el 30/10/18

    Hola unicoos, tengo un problema con este ejercicio podrías por favor ayudarme, me seria de gran ayuda 

    replythumb_up0 voto/sflag
    icon

    Antonius Benedictus
    el 30/10/18


    thumb_up0 voto/sflag
  • icon

    Octavio Díaz
    el 29/10/18

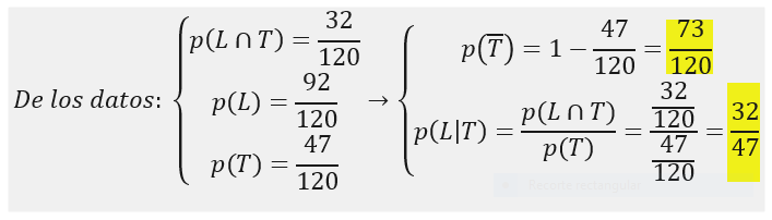
    Se hace una encuesta en un grupo de 120 personas, preguntando si

    les gusta leer y ver la televisión. Los resultados son: - A 32 personas les gusta leer y ver la tele. - A 92 personas les gusta leer. - A 47 personas les gusta ver la tele. Si elegimos al azar una de esas personas: a) ¿Cuál es la probabilidad de que no le guste ver la tele?  b) ¿Cuál es la probabilidad de que le guste leer, sabiendo que legusta ver la tele?   muchas gracias

    replythumb_up0 voto/sflag
    icon

    Antonius Benedictus
    el 30/10/18


    thumb_up1 voto/sflag