Hola, buenas noches.
Alguien me puede ayudar con el siguiente problema?
Es un sistema de inecuaciones:
x^4-x^2-2<0
4-x≥0
Se trata de un sistema de dos inecuaciones con una incógnita. Lo único que he podido resolver son las x. Los valores de x que me han salido a mi son los siguientes: ±raiz de dos y 4. ¿Es correcto?
A partir de aquí no se seguir.
Espero que me ayuden, muchas gracias. Se trata de un problema de 4 de la ESO.
Hola, si me podriais ayudar con esto:
(x/2 + y - 3z)5
a) Calcular el coeficiente de x2yz2
b) Cuantos elementos diferentes hay?c) Cuanto es la suma de todos los coeficientes?
Gracias

¡Hola! Nos encantaría ayudarte, pero no solemos responder dudas universitarias que no tengan que ver específicamente con los vídeos que David Calle ha grabado como excepción. O de otras asignaturas que no sean Matemáticas, Física y Química. Lo sentimos de corazón… Esperamos que lo entiendas.
Ojalá algún unicoo universitario se anime a ayudarte (de hecho, lo ideal es que todos los universitarios intentarais ayudaros los unos a los otros).

Siento que haya estado mal planteada la duda,imaginé que así sería el procedimiento pero es un ejercicio sacado de un examen oficial por lo que realmente no se si dejan usar una regla,por ello pensaba que quizás había un procedimiento que ignoraba jajaj
Como no se sabe si se tendrá que usar regla,transportador o cualquier otra cosa...
Gracias de corazón por crear unicoos.
Hola, buenas noches.
Alguien me puede ayudar con el siguiente problema?
Es un sistema de inecuaciones:
x^4-x^2-2<0
4-x≥0
Se trata de un sistema de dos inecuaciones con una incógnita. Lo único que he podido resolver son las x. Los valores de x que me han salido a mi son los siguientes: ±raiz de dos, ±1 y 4. ¿Es correcto?
A partir de aquí no se seguir.
Espero que me ayuden, muchas gracias!
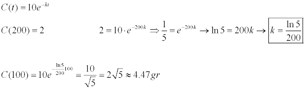
Hola, me podríais ayudar con este problema, gracias
Una sustancia radioactiva se desintegra siguiendo una función exponencial. La cantidad inicial es de 10 gramos, pero después de 200 años es de 2 gramos. Calcula la cantidad que hubo después de 100 años.
No entiendo la integral doble. Según teoría, si integramos con respecto a dx, entonces 'y' se mantiene constante. Lo que no entiendo en esta solución es porque mantiene constante la primera 'y' y la segunda la integra poniendo el ^2.
No paro de darle vueltas. ¿me podríais ayudar?