Foro de preguntas y respuestas de Matemáticas

logo beUnicoos
Los foros de unicoos se han unificado en nuestra nueva plataforma beUnicoos. Para dejar nuevas preguntas deberás hacerlo allí, donde además podrás encontrar nuevas asignaturas y herramientas para ayudarte más con tus estudios.

  • icon

    Alba
    el 24/9/18

    Alguien me puede ayudar con el ejercicio 4? Se lo agradeceria


    replythumb_up0 voto/sflag
    icon

    César
    el 24/9/18


    thumb_up0 voto/sflag
    icon

    Alba
    el 25/9/18

    Perdona, pero el que no me sale es el 4, no el 3

    thumb_up0 voto/sflag
  • icon

    Marcos Granados
    el 24/9/18

    Hola a todos. Esta es la primera vez que accedo a este foro de dudas sobre matemáticas.

    Mi duda es referente a ecuaciones diferenciales de primer orden.

    El enunciado del ejercicio es:

    Resolver el problema de valor inicial (x+sqrt(x))y'=y y(1)=4. ¿Cuál sería la solución aproximada que da la regla de Euler en x=1.5?

    Mi solución es:

    paso 1: Encontrar la solución general

    (x+sqrt(x))y'=y                          Ecuación original

    y'=y/(x+sqrt(x)                          Reescribir ecuación

    dy/dx=(1/(x+sqrt(x)))y              Separar variables

    ydy=(1/(x+sqrt(x)))dx               Reordenar

    ∫ydy=∫(1/(x+sqrt(x)))dx             Preparar integral

    (y2/2)=2log(sqrt(x)+1)+C       Solución general


    Paso 2: Determinar la constante C

    y2=4log(sqrt(x)+1)+C

    42=4log(sqrt(1)+1)+C

    8=4log(2)+C

    C=8-4log(2) o C=8-log(16)


    Paso 3: Sustituir C en la solución general
    y2=4log(sqrt(x)+1)+C                    solución general simplificada
    y2=4log(sqrt(x)+1)+(8-log(16))     solución general


    y2-4log(sqrt(x)+1)=(8-log(16))


    Hasta aqui he logrado hacer. Tengo 2 preguntas:

    1) ¿Es correcta mi solución? Si no es correcta, ¿qué falta?

    2) ¿Cómo obtener la solución aproximada por el método de Euler para x=1.5?


    Muchas gracias de antemano. 

    replythumb_up0 voto/sflag
    icon

    César
    el 25/9/18


    thumb_up0 voto/sflag
  • icon

    Marta
    el 24/9/18

    P(x) = -3xy2 + xyz4 

    Q(x) = 4xy4 + 5zf

    P(x)+Q(x)= ?

    P(x) = -3xy2 - 5zf

    Q(x) = 4xy4+5zf

    P(x)-Q(x) = ?


    replythumb_up0 voto/sflag
    icon

    César
    el 24/9/18


    thumb_up0 voto/sflag
    icon

    Marta
    el 24/9/18

    Muchas gracias, César.

    thumb_up0 voto/sflag
  • icon

    Sara Bach Fou
    el 24/9/18

    Buenas noches Unicoos:

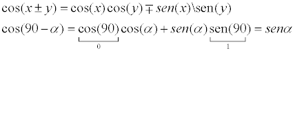
    Me piden para trigonometría que demuestre que senalfa=cos90-alfa ¿Qué formulas tendría que emplear para demostrarlo? Estoy super perdida, gracias de antemano!

    replythumb_up0 voto/sflag
    icon

    César
    el 24/9/18



    thumb_up0 voto/sflag
    icon

    Antonius Benedictus
    el 24/9/18


    thumb_up0 voto/sflag
  • icon

    James
    el 24/9/18

    Sea un polinomio  p(t)∈R[x] con 2 como arrel triple de p(t), p'''(0) = 6 i p''(0) = 2. Determinad p(t) de grado minimo. Solo quiero comprobar el resultado, me da p(t)= t^3 + t^2 + 12t - 8. Gracias!



    replythumb_up0 voto/sflag
    icon

    Antonius Benedictus
    el 24/9/18


    thumb_up0 voto/sflag
  • icon

    patry
    el 24/9/18

    hola no me acuerdo de las potencias de exponente entero ni de sus operaciones me puedes ayudar por favor se lo agradeceria muchisimo

    replythumb_up0 voto/sflag
    icon

    Antonius Benedictus
    el 24/9/18

    thumb_up0 voto/sflag
  • icon

    MDY01
    el 24/9/18

    algún vídeo de el binario de newton?

    replythumb_up0 voto/sflag
    icon

    Izan Beltrán
    el 24/9/18

    *Binomio de Newton*
    https://www.youtube.com/watch?v=UUtQCUukD7Q
    https://es.khanacademy.org/math/algebra2/polynomial-functions/binomial-theorem/v/binomial-theorem


    thumb_up0 voto/sflag
  • icon

    Rj Mitte
    el 24/9/18

    no me dejen morir ayuda con estos porfavor 



    replythumb_up0 voto/sflag
    icon

    Antonius Benedictus
    el 24/9/18

    El VI.1 ya te lo hice:


    thumb_up1 voto/sflag
    icon

    Antonius Benedictus
    el 24/9/18


    thumb_up1 voto/sflag
    icon

    Rj Mitte
    el 24/9/18

    muchas gracias antonio

    thumb_up0 voto/sflag
  • icon

    Rj Mitte
    el 24/9/18

     ayuda con 16, 17 plisss



    ayuda por favor

    replythumb_up0 voto/sflag
    icon

    César
    el 24/9/18


    thumb_up1 voto/sflag
    icon

    César
    el 24/9/18

  • icon

    anaespo
    el 24/9/18

    Cómo se hace este ejercicio??


    replythumb_up0 voto/sflag
    icon

    César
    el 24/9/18

    https://es.symbolab.com/solver/pre-calculus-equation-calculator/%5Cleft%7C2x%5E%7B2%7D-1%5Cright%7C%2B%5Cleft%7C3x-1%5Cright%7C%3C2


    thumb_up0 voto/sflag