Buenos días a todos.
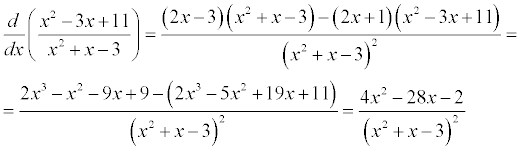
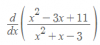
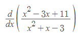
Por favor,necesito ayuda,¿cual es la manera correcta para derivar
?
¿Es correcto el procedimiento y el resultado que muestro a continuación?
Tras la distributiva queda así
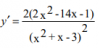
,sin embargo,al agrupar términos semejantes y operar,obtengo este resultado el cual no me parece coherente
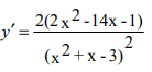
debido a que en la hoja de ejercicios resueltos aparece este resultado ![]()
Gracias por hacer esto posible.
Buenos días Unicoos! Me piden en un ejercicio hallar los ángulos reducidos y las razones trigonométricas de varios ángulos. Entiendo el procedimiento y he sido capaz de calcularlo cuando me dan el ángulo en grados, pero hay dos apartados que no se cómo hacerlo a ver si me podríais ayudar.
Seria para 9pi y para (121pi)/4 Lo que me mosquea es que no me pone que sea radianes y no sé si tengo que pasarlo a grados o no.
Gracias de antemano!

Por el teorema del resto , despejas del divisisor x+2 = 0 ==> x = -2 , esto reemplazas en el dividendo y lo que se obtiene es el resto .
Dividendo = A(x) =x^2 + 3x - a^2 * x^3 + 2 ===> Resto = A(-2) = (-2)^2 + 3(-2) - a^2 * (-2)^3 + 2 = 32 <------- por dato
Operando
4 - 6 + 8a^2 + 2 = 32 ===> 8a^2 = 32 ===> a = 2 ó a = -2 <---- Dos soluciones .
Supongamos que no conoces el teorema del resto (es muy importante conocerlo por cierto)
Lo que sí se conoce sí o sí es lo siguiente
Dividendo = divisor * cociente + residuo
x^2 + 3x - a^2 * x^3 + 2 = (x + 2) * q(x) + 32
si acá hacemos x = - 2 entonces queda
(-2)^2 + 3(-2) - a^2 * (-2)^3 + 2 = 0 * q(x) + 32 = 32
Y tenemos lo mismo de arriba .
Buenas pero un usuario de aqui me dijo eso que la solución es -4 raiz cuadrada de dos y -4 raiz cuadrada de dos i
Y la solución que sale en el libro es la que te puesto ahí en la foto que te acabo de pasar lo que pone esto en el libro 8-8i/de raiz y cuadrada de 2 de i y lo que pone es el resultado final 8 por raiz cuadrada de 2 partido de raiz cuadrada de 2 i y no se como ha llegado ahí y no se cuál es la solucion si esta la de la foto o lo primero que te que escribir me puedes poner todos los pasos y la solución verdadera
hola buenas, tengo una duda y es que en la ecuación x-5/5-x=1 me da 5, pero es que al enseñársela a mi profe me ha dicho que esa ecuación no tiene solucion y no se porque

Tienes la ecuación:
(x - 5) / (5 - x) = 1,
y observa que x = 5 no es solución, porque el denominador se anula, lo cuál indetermina la expresión del primer miembro.
Luego, multiplicas por (5 - x) en ambos miembros, simplificas el primer miembro, y queda:
x - 5 = 5 - x, sumas x y sumas 5 en ambos miembros, reduces términos semejantes, y queda:
2x = 10, divides por 2 en ambos miembros, y queda:
x = 5, que no es una solución válida para la ecuación de tu enunciado y, por lo tanto, dicha ecuación no tienes solución.
Espero haberte ayudado.
si log 2=0,30 ;log 3=0,45 y log k=0,90
¿ como calculo el resultado de( log k 3) ?
gracias de antemano

Tienes la expresión logarítmica:
x = logk(3), compones en ambos miembros con la función antilogarítmica en base k, y queda:
kx = k^logk(3),
resuelves el segundo miembro (observa que tienes composición de funciones inversas), y queda:
kx = 3, compones en ambos miembros con la función logarítmica en base 10, y queda:
log(kx) = log(3), aplicas la propiedad del logaritmo de una potencia en el primer miembro, y queda:
x*log(k) = log(3), divides en ambos miembros por log(k), y queda:
x = log(3) / log(k), reemplazas los valores aproximados que tienes en tu enunciado, y queda:
x ≅ 0,45/0,90 ≅ 0,5.
Espero haberte ayudado.