
¡Hola! Nos encantaría ayudarte, pero no solemos responder dudas universitarias que no tengan que ver específicamente con los vídeos que David Calle ha grabado como excepción. O de otras asignaturas que no sean Matemáticas, Física y Química. Lo sentimos de corazón… Esperamos que lo entiendas.
Ojalá algún unicoo universitario se anime a ayudarte (de hecho, lo ideal es que todos los universitarios intentarais ayudaros los unos a los otros).
buenos dias me llamo kevin y quisiera que ustedes me resolvieran el ejercicio practico de matematicas propuesto en la selectividad en la convocatoria de septiembre 2018 que dice : REALICE EL ESTUDIO LOCAL DE DICHA FUNCION Y REPRESENTALA SI SE PUEDE .......
X(X-1)/X^2
Buen día o noche. Alguien me puede decir cómo calculo el áre lateral y total de un tetraedro regular dado solo sus aristas. Muchas gracias si pueden ayudarme.
Hola, socorro ...
Como responder a este tipo de pregunta ( tengo un examen dentro de 6 horas y no entiendo como se responde a esto):
Si se seleccionan a 5 estudiantes al hazar de una clase de 20 estudiantes, cuál es la probabilidad de que:
a) al menos 1 de los 5 estudiantes haya nacido en un Sábado
b) 2 del grupo de 5 hayan nacido en el mismo día de la semana
¡¡Gracias!!
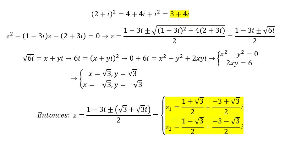
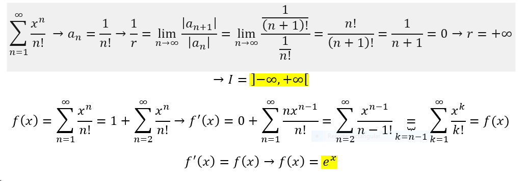
Buenas, podríais resolver estos dos ejercicios? Mi duda sobre todo es cómo puedo calcular las sumas de las series convergentes.
Muchas gracias.