Foro de preguntas y respuestas de Matemáticas

logo beUnicoos
Los foros de unicoos se han unificado en nuestra nueva plataforma beUnicoos. Para dejar nuevas preguntas deberás hacerlo allí, donde además podrás encontrar nuevas asignaturas y herramientas para ayudarte más con tus estudios.

  • icon

    Jesus Angel Rodriguez
    el 30/8/18

    Nose si tengo bien hecho el ejercicio

    replythumb_up0 voto/sflag
    icon

    César
    el 30/8/18

    Está perfecto Jesús.

    thumb_up0 voto/sflag
    icon

    Jesus Angel Rodriguez
    el 30/8/18

    gracias

    thumb_up0 voto/sflag
  • Usuario eliminado
    el 30/8/18
    flag

    Buenas, me pide que factorizar y obtener la mayor cantidad de factores posibles..  de  4x^4-36-4

    entonces hice 4x^4-40 , luego saque factor comun 4 y me quedo    4 (x^4-10)   esta bien?


    Solo quiere mi profe que utilize los casos de factoreo. Gracias!

    replythumb_up0 voto/sflag
    icon

    Antonius Benedictus
    el 30/8/18

    Pon foto del enunciado original.

    thumb_up0 voto/sflag

    Usuario eliminado
    el 30/8/18

    ahi esta profe

    thumb_up0 voto/sflag
    icon

    Antonius Benedictus
    el 30/8/18

    ¿Estás seguro?


    thumb_up0 voto/sflag
    icon

    Antonius Benedictus
    el 30/8/18

    Según lo planteas:


    thumb_up0 voto/sflag

    Usuario eliminado
    el 31/8/18

    Si, seguro profe.. Asi nos dio el profesor...


    pero en la foto que me mando que caso de factoreo uso? porque el quiere q usemos casos de factoreos y nos enseño: factor comun, factor comun por grupos, trinomio, cuatrinomio, diferencia cuadrados, suma de potencia y rufini. disculpe la molestia

    thumb_up0 voto/sflag
  • icon

    magui
    el 30/8/18

    Hola, esta bien resuelto ese ejercicio?  Sería lo mismo poner S que (5,6) en los puntos de acumulación -frontera y adherente?  Gracias 

    replythumb_up0 voto/sflag
    icon

    Antonius Benedictus
    el 30/8/18

    La frontera no es S, son los dos valores extremos sueltos.

    Lo demás es correcto.

    thumb_up1 voto/sflag
  • icon

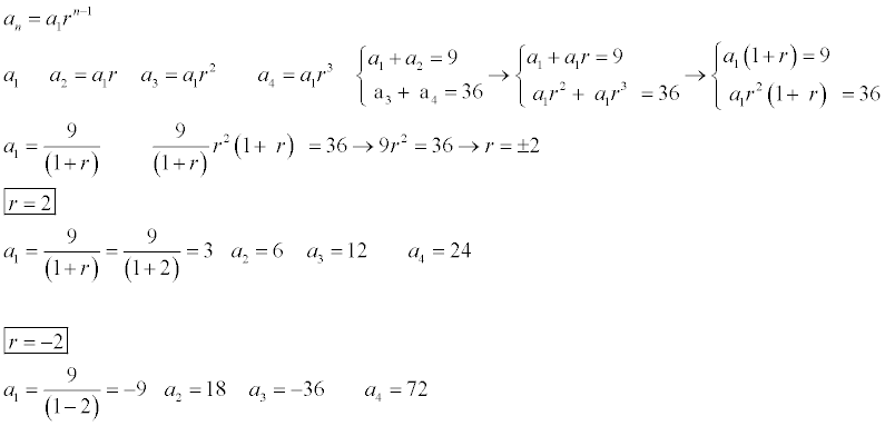
    Nick Specter
    el 30/8/18

    1. De una progresión de 7 términos, se sabe que el primer término es 3/4 y el último es 1/8. Encontrar el término de la mitad y la suma de todos los términos.

    2. Determinar 4 números en progresión geométrica tal que dos primeros sumen 9 y los dos últimos 36. 


    Ayudaa

    replythumb_up0 voto/sflag
    icon

    César
    el 30/8/18


    thumb_up0 voto/sflag
    icon

    César
    el 30/8/18


    thumb_up0 voto/sflag
  • icon

    Mathias
    el 29/8/18
    flag

    Buenas, ¿qué significa lo que resalté? En donde aplica la definición de límite:

    replythumb_up0 voto/sflag
    icon

    Antonius Benedictus
    el 30/8/18

    Así, descontextualizado, no podemos explicarte nada.

    thumb_up0 voto/sflag
  • icon

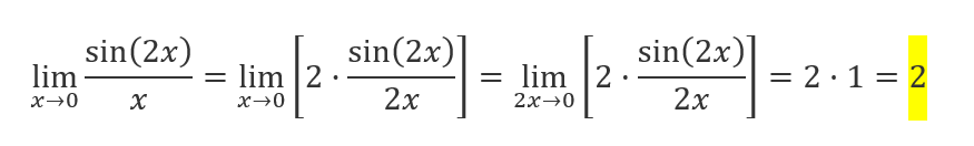
    zibz coc
    el 29/8/18

    Alguien me ayuda a resolver este límite? El enunciado es: Resolver el siguiente límite sin aplicar la regla de L’Hopital:



    replythumb_up0 voto/sflag
    icon

    Antonius Benedictus
    el 30/8/18

    Entonces:



    thumb_up1 voto/sflag
  • icon

    Nick Specter
    el 29/8/18

    demostrar por principio de inducción matemática si el siguiente ejercicio es verdadero


    replythumb_up0 voto/sflag
    icon

    Antonius Benedictus
    el 29/8/18


    thumb_up0 voto/sflag
  • icon

    Fabricio Lascano Zrt
    el 29/8/18

    Hola, como factorizarian esta ecuacion: (x^3)+2x+1

    Gracias.

    replythumb_up0 voto/sflag
    icon

    César
    el 29/8/18

    no se puede factorizar mas, ya que tiene una raiz real y 2 complejas

    thumb_up1 voto/sflag
    icon

    Antonius Benedictus
    el 29/8/18

    Tienes que usar la fórmula de la ecuación de tercer grado:

    https://www.uam.es/personal_pdi/ciencias/aprimo/problemapremio.pdf


    thumb_up1 voto/sflag
  • icon

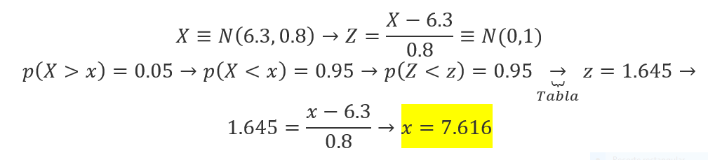
    Ruben Gonzalez Lorenzo
    el 29/8/18
    flag

    Buenas de nuevo

    Me gustaría preguntar ya por ultimo,por el siguiente problema de probabilidad:


    El numero de plazas para cursar 1º medicina en cierta universidad  representa el 5% del alumnado de 2º bachillerato.Este año las notas medias de los estudiantes que acabaron bachillerato siguen una distribución normal  de media de 0.3 y desviación típica de 0.8.

    calcula la nota mínima que de tener un estudiante para cursar la carrera.

    Agradecería ayuda,no se como empezar a pesar de que tengo datos que deberían ayudarme

    Un cordial saludo y gracias.



    replythumb_up0 voto/sflag
    icon

    Antonius Benedictus
    el 29/8/18

    ¿Puedes poner foto del enunciado original o revisar tu transcripción?


    thumb_up1 voto/sflag
    icon

    Ruben Gonzalez Lorenzo
    el 29/8/18

    Hola,

    Hay un error en donde dice:

    "Calcula la nota minima que debe de tener un estudiante para cursar la carrera"

    Faltan datos o deberian darme otro tipo de datos....?

    thumb_up0 voto/sflag
    icon

    Antonius Benedictus
    el 29/8/18

    La media de 0.3 me parece un poco baja...


    thumb_up1 voto/sflag
    icon

    Ruben Gonzalez Lorenzo
    el 29/8/18

    A mi tambien me lo parecio,pero revisando el enunciado dice 0,3.Tal vez quien me lo proporciono se equivocó....

    thumb_up0 voto/sflag
    icon

    Antonius Benedictus
    el 29/8/18

    Si quieres, te lo resuelvo para una media de 6.3


    thumb_up1 voto/sflag
    icon

    Ruben Gonzalez Lorenzo
    el 29/8/18

    Si si,se lo agradecería mucho, seguramente ese sería el dato original y al escribirlo se equivoco.

    Corrijo mi enunciado.

    thumb_up0 voto/sflag
    icon

    Antonius Benedictus
    el 29/8/18


    thumb_up1 voto/sflag
    icon

    Ruben Gonzalez Lorenzo
    el 29/8/18

    Muchisimas gracias otra vez,me ha sido de gran ayuda.


    Un cordial saludo¡

    thumb_up0 voto/sflag
    icon

    Ruben Gonzalez Lorenzo
    el 29/8/18

    Haciendo el ejercicio de nuevo,X entiendo que es la nota media de los alumnos de 2º bachillerato,y que x es la nota media minima,pero porque ha de ser X>x?

    thumb_up0 voto/sflag
    icon

    Antonius Benedictus
    el 29/8/18

    Entendemos el 5 % de los alumnos mejor calificados.

    thumb_up1 voto/sflag
    icon

    Ruben Gonzalez Lorenzo
    el 29/8/18

    Ahora si,me ha costado pero ahora si jaja,lo comprendi con ese matiz.

    Un cordial saludo!

    thumb_up0 voto/sflag