Una empresa quiere repartir 100000 panfletos publicitarios. Para ello va a contratar a cierto número de repartidores. El contrato de cada repartidor tiene un coste fijo de 500 euros. Por otro lado, cada repartidor entrega, en promedio, 200 folletos por hora, y cobra un salario de 36 euros la hora. Determina el número de repartidores que deben contratarse para minimizar los costes de la empresa.

¡Hola! Nos encantaría ayudarte, pero no solemos responder dudas universitarias que no tengan que ver específicamente con los vídeos que David Calle ha grabado como excepción. O de otras asignaturas que no sean Matemáticas, Física y Química. Lo sentimos de corazón… Esperamos que lo entiendas.
Ojalá algún unicoo universitario se anime a ayudarte (de hecho, lo ideal es que todos los universitarios intentarais ayudaros los unos a los otros).
Tienes que calcular la curvatura de las dos funciones, y luego con esto podras calcular el centro de los círculos de cada función y el radio. Luego tendrás que igualar los dos radios de los círculos y los dos centros de los círculos. Y te saldrá un sistema de tres ecuaciones con tres incógnitas (a, b y el punto en el que son iguales los dos círculos). Es muy largo. Si necesitas alguna fórmula o algo más concreto que no te acuerdes, me comentas.
Saludos.

Comienza por hacer un gráfico cartesiano de la curva, observa que se trata de una parábola con eje de simetría OY, cuyo vértice es V(0,4), que corta al eje OX en x = -2 y x = 2, y que los puntos que indicamos a continuación pertenecen a ella:
A(-1,3) y B(1,3), que son los puntos de intersección con la recta cuya ecuación es: y = 3,
C(-√(3),1) y D(√(3),1), que son los puntos de intersección con la recta cuya ecuación es: y = 1.
Luego, observa que tienes dos arcos de parábola cuyos extremos pertenecen a las rectas indicadas:
L1, cuyos extremos son los puntos C y A,
L2, cuyos extremos son los puntos B y D.
Luego, planteas las expresiones de los volúmenes de revolución generados al rotar los arcos alrededor del eje cuya ecuación es y = 1, y queda:
V =
= V1 + V2 =
sustituyes expresiones, y queda:
= π*-√(3)∫-1 (4-x2 - 1)2*dx + π*1∫-√(3) (4-x2 - 1)2*dx =
reduces los argumentos en los agrupamientos, y queda:
= π*-√(3)∫-1 (3 - x2)2*dx + π*1∫-√(3) (3 - x2)2*dx =
desarrollas los binomios elevados al cuadrado en los argumentos de las integrales, y queda:
= π*-√(3)∫-1 (9 - 6x2 + x4)*dx + π*1∫-√(3) (9 - 6x2 + x4)*dx =
integras (observa que indicamos con corchetes que debes evaluar con Regla de Barrow, con los límites de integración correspondientes para cada integral), y queda:
= π*[ 9x - 2x3 + (1/5)x5 ] + π*[ 9x - 2x3 + (1/5)x5 ] =
evalúas, y queda:
= π*( ( 9 - 2 + 1/5 ) - ( -9√(3) + 2√(27) - (1/5)√(243) ) +
+ π*( ( 9√(3) - 2√(27) + (1/5)√(243) ) - ( 9 - 2 + 1/5 ) ) =
reduces expresiones y distribuyes en amos términos de los dos agrupamientos, y queda:
= π*( 7 + 1/5 + 9√(3) - 2√(27) + (1/5)√(243) ) +
+ π*( 9√(3) - 2√(27) + (1/5)√(243) - 7 - 1/5 ) ) =
extraes el factor común π, y queda:
= π*( 7 + 1/5 + 9√(3) - 2√(27) + (1/5)√(243) + 9√(3) - 2√(27) + (1/5)√(243) - 7 - 1/5 ) =
cancelas términos opuestos, reduces términos semejantes, y queda:
= π*( 18√(3) - 4√(27) + (2/5)√(243) ) =
extraes factores enteros de los argumentos de los dos últimos términos del agrupamiento, resuelves multiplicaciones entre números naturales, y queda:
= π*( 18√(3) - 12√(3) + (18/5)√(3) ) =
extraes factor común √(3) en el agrupamiento, y queda:
= √(3)π*(18 - 12 + 18/5)
reduces términos semejantes en el agrupamiento, y queda:
= 48√(3)π/5.
Espero haberte ayudado.
Hola alguien me puede ayudar como resolver esto.
Determinar una ecuación diferencial correspondiente a la solución general dada:

Observa que tienes una sola constante arbitraria en la ecuación diferencial de tu enunciado, por lo que puedes comenzar por derivar implícitamente con respecto a x, y queda:
2x + 2cy*y ' = 0,
restas 2x en ambos miembros, y queda:
2cy*y ' = -2x,
divides por 2y*y ' en ambos miembros,y queda:
c = -x/(y*y ');
luego, sustituyes esta expresión en la ecuación diferencial de tu enunciado, y queda:
x2 + ( -x/(y*y ') )y2 = 1,
resuelves el segundo término, y queda:
x2 - xy/y ' = 1,
multiplicas por y ' en todos los términos de la ecuación, y queda:
x2*y ' - xy = y ',
restas y ' y sumas xy en ambos miembros, y queda:
x2*y ' - y ' = xy,
extraes factor común en el primer miembro, y queda:
(x2 - 1)*y ' = xy,
divides por (x2 - 1) en ambos miembros, y queda:
y ' = xy / (x2 - 1).
Espero haberte ayudado.
Una cadena alimentaria envasa tres tipos de leche: Entera, semi y desnatada. Se sabe:
- El 60% de la leche entera más el 50% de la semi representa el 30% de la producción total.
- El 20% de la entera más el 60% de la semi más el 60% de la desnatada representa el 50% de la producción total.
- Se envasan 100 litros más de semi que de entera.
Halla el número de litros que se envasa de cada tipo.

Puedes llamar x a la cantidad de litros de leche entera, puedes llamar y a la cantidad de litros de leche semientera, y puedes llamar z a la cantidad de litros de leche desnatada, y observa que la cantidad total de litros de leche queda expresada: x + y + z.
Luego, tienes las ecuaciones:
0,60x + 0,50y = 0,30(x + y + z),
0,20x + 0,60y + 0,60z) = 0,50(x + y + z),
y = x + 100;
luego, multiplicas por 10 en todos los términos de las tres ecuaciones, y queda el sistema:
6x + 5y = 3(x + y + z),
2x + 6y + 6z = 5(x + y + z),
y = x + 100;
luego, distribuyes en los segundos miembros de las dos primeras ecuaciones, y queda:
6x + 5y = 3x + 3y + 3z,
2x + 6y + 6z = 5x + 5y + 5z,
y = x + 100;
luego, restas 3x, restas 3y y restas 3z en ambos miembros de la primera ecuación, restas 5x, restas 5y y restas 5z en ambos miembros de la segunda ecuación, y queda:
3x + 2y - 3z = 0 (1),
-3x + y + z = 0 (2),
y = x + 100 (3);
luego, sustituyes la expresión señalada (3) en las ecuaciones señaladas (1) (2), y queda:
3x + 2(x + 100) - 3z = 0,
-3x + x + 100 + z = 0;
luego, distribuyes el segundo términos de la primera ecuación, reduces términos semejantes en ambas ecuaciones, y queda:
5x + 200 - 3z = 0 (4),
-2x + 100 + z = 0 (5);
restas 100 y sumas 2x en amos miembros de la ecuación señalada (5), y queda:
z = 2x - 100 (6);
luego, sustituyes la expresión señalada (6) en la ecuación señalada (4), y queda:
5x + 200 - 3(2x - 100) = 0,
distribuyes el tercer término, reduces términos semejantes, y queda:
-x + 500 = 0,
sumas x en ambos miembros, y queda:
x = 500;
luego, sustituyes el valor remarcado en las ecuaciones señaladas (3) (6), resuelves, y queda:
y = 600,
z = 900,
y observa que la cantidad total de litros de leche es: x + y + z = 2000.
Espero haberte ayudado.

¡Hola! Nos encantaría ayudarte, pero no solemos responder dudas universitarias que no tengan que ver específicamente con los vídeos que David Calle ha grabado como excepción. O de otras asignaturas que no sean Matemáticas, Física y Química. Lo sentimos de corazón… Esperamos que lo entiendas.
Ojalá algún unicoo universitario se anime a ayudarte (de hecho, lo ideal es que todos los universitarios intentarais ayudaros los unos a los otros).

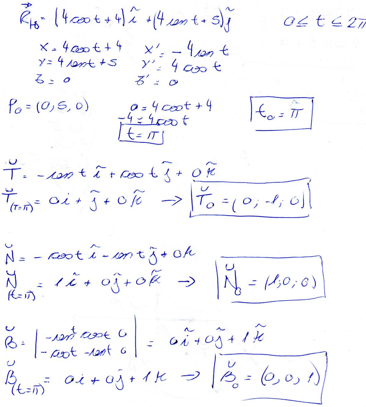
Los planteos y los cálculos que has hecho para determinar las expresiones de los vectores Tangente Unitario, Normal Unitario y Binormal Unitario están correctos.
Luego, recuerda que para expresar por medio de ecuaciones a una curva en el espacio necesitas presentar un sistema de dos ecuaciones, ya que una ecuación aislada representa a una superficie;
luego, has determinado bien a una de ellas que es el cilindro circular recto con eje de simetría paralelo al eje OZ, cuya ecuación es:
(x - 4)2/16 + (y - 5)2/16 = 1;
luego, observa que la tercera componente de la función vectorial de posición de los puntos de la curva es:
z = 0,
que corresponde al plano coordenado OXY;
por lo tanto, multiplicas por 16 en todos los términos de la ecuación del cilindro, y junto con la segunda ecuación tienes el sistema:
(x - 4)2 + (y - 5)2 = 16,
z = 0,
que corresponde a la curva en el espacio.
Y si niecesitas presentar a la curva en el plano, ahí sí solamente necesitas a la primera ecuación.
Espero haberte ayudado.
Hola, esto puede ser una tontería pero en el Teorema de la Probabilidad Total, cuando dice que los sucesos A, B, C,..., N son incompatibles dos a dos, ¿a qué se refiere?
Por ejemplo:
Sucesos A, B, C y D.
A = "pertenecer a la clase A"
B = "pertenecer a la clase B"
C = "pertenecer a la clase C"
D = "pertenecer a la clase D"
Estos cuatro sucesos son incompatibles dos a dos y su unión es el espacio muestral.
Explicarme la teoría, no me expliquéis la fórmula por favor. Solo necesito la explicación de incompatibles dos a dos. ¿Por qué no es incompatible dos a tres? ¿o tres a cuatro?

Dos sucesos son incompatibles cundo no tienen ningún resultado elemental común (o sea, que no se pueden verificar en la misma prueba del correspondiente experimento aleatorio). Si una serie de suceso son incompatibles dos a dos significa exactamente que cualesquiera dos que cojamos de entre ellos son incompatibles.