Foro de preguntas y respuestas de Matemáticas

logo beUnicoos
Los foros de unicoos se han unificado en nuestra nueva plataforma beUnicoos. Para dejar nuevas preguntas deberás hacerlo allí, donde además podrás encontrar nuevas asignaturas y herramientas para ayudarte más con tus estudios.

  • icon

    Antonio
    el 21/8/18

    Me podrian ayudar a resolver los DOS PRIMEROS ejercicios de la manera enseñada en 4to de la ESO      Graciass

    replythumb_up0 voto/sflag
    icon

    Guillem De La Calle Vicente
    el 21/8/18


    thumb_up1 voto/sflag
    icon

    César
    el 21/8/18


    thumb_up0 voto/sflag
  • icon

    Jorjaelipau6 “Jorjaelipau6”
    el 21/8/18


    Hola tengo una duda con este ejercicio, creo que no se puede dibujar más de un triángulo, pero me gustaría una segunda opinión. Espero sus respuestas. Gracias!

    replythumb_up0 voto/sflag
    icon

    Guillem De La Calle Vicente
    el 21/8/18

    a) 16 triángulos

    b) 16 triángulos

    c) 8 triángulos

    d) 16 triángulos

    El apartado a) es inmediato. Esas medidas son de un triángulo como en el dibujo, y en cada uno de los cuadrantes se puede dibujar exactamente cuatro triángulos diferentes, 4 triángulos por 4 cuadrantes dan 16.

    Saludos.


    thumb_up1 voto/sflag
  • icon

    David Rodriguez
    el 21/8/18

    Una pregunta me hago un lio haciendo raices cuadradas como se hacen.

    replythumb_up0 voto/sflag
    icon

    Guillem De La Calle Vicente
    el 21/8/18

    Encontrar la raíz cuadrada de un número es la operación inversa de elevar al cuadrado ese número. Recuerde, el cuadrado de un número es ese número por sí mismo.

    cuadrado de n = n2

    cuadrado de 5 = 5 x 5 = 52 = 25

    Los cuadrados perfectos son los cuadrados de los números enteros.

    1, 4, 9, 16, 25, 36, 49, 64, 81, 100

    La raíz cuadrada de un número, n, √(n), es el número que da n cuando se multiplica por sí mismo.

    √(100) = 10, porque 10 x 10 = 100


    Muchas operaciones matemáticas tienen una operació inversa u opuesta. La resta es lo opuesto de la suma, la división es lo contrario de la multiplicación, y así sucesivamente. Elevar al cuadrado también tiene un inverso llamado "encontrar la raíz cuadrada".

    Aquí te voy a hacer las raíces cuadradas de todos los cuadrados perfectos del 1 a 100:

    √(1) = 1 porque 12 = 1

    √(4) = 2 porque 22 = 4

    √(9) = 3 porque 32 = 9

    √(16) = 4 porque 42 = 16

    √(25) = 5 porque 52 = 25

    √(36) = 6 porque 62 = 36

    √(49) = 7 porque 72 = 49

    √(64) = 8 porque 82 = 64

    √(81) = 9 porque 92 = 81

    √(100) = 10 porque 102 = 100


    Para encontrar raíces cuadradas de números que no son cuadrados perfectos sin una calculadora, es útil el siguiente procedimiento:

    1. Estimación: primero, acércate lo más posible encontrando dos raíces cuadradas perfectas entre las que se encuentra tu número.
    2. División: divide tu número por una de esas raíces cuadradas.
    3. Promedio: toma el promedio del resultado del paso 2 y la raíz.
    4. Use el resultado del paso 3 para repetir los pasos 2 y 3 hasta que tenga un número que sea lo suficientemente preciso para usted.


    Ejemplo: Calcular la raíz cuadrada de 10 (√(10)) con 2 decimales.

    1.  Encontrar los dos números cuadrados perfectos entre los que se encuentra.
      32=9  y  42 = 16, por lo tanto √(10) está entre 3 y 4.
    2. Dividir 10 por 3. 10/3 = 3.33
    3. Hacer el promedio de 3.33 y 3.    (3.33 + 3)/2 = 3.1667
    4. Repetir el paso 2: 10 / 3.1667 = 3.1579
      Repetir el paso 3: Hacer el promedio de 3.1579 y 3.1667.   (3.1579 + 3.1667)/2 = 3.1623

    Vamos a comprobarlo: es 3.1623 elevado al cuadrado igual a 10? 3.1623 x 3.1623 = 10.0001

    Si esto es lo suficientemente preciso para ti, ¡puedes parar! De lo contrario, puedes repetir los pasos 2 y 3.

    Hay varias maneras de calcular raíces cuadradas sin una calculadora. Esta es sólo una de ellas.


    Saludos.

    thumb_up0 voto/sflag
  • icon

    Bonifacio
    el 20/8/18

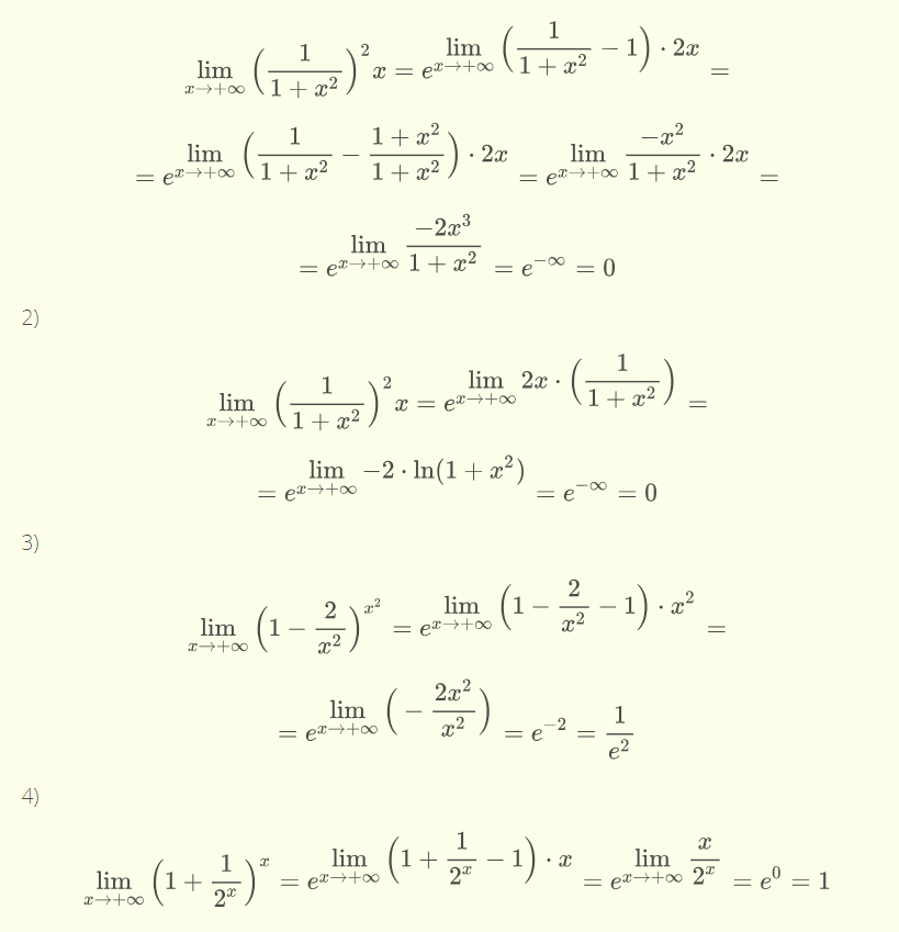
    Tengo un ejercicio donde hay que calcular el valor del limite x->a de f(x) ^ g(x) sabiendo que:

    lim x->a f(x) =1 y lim x->a g(x) = infinito.

    Traté de realizarlo de varias maneras pero siempre acabo en indeterminaciones que no puedo resolver.

    (la consigna no me deja utilizar L´Hopital)

    replythumb_up0 voto/sflag
    icon

    César
    el 21/8/18


    thumb_up0 voto/sflag
    icon

    Bonifacio
    el 21/8/18

    No comprendo la segunda imagen, en la primera llegas a la indeterminacion 0 por infinito pero luego en la segunda foto ya no se de donde estas partiendo ni que realizas ya que hay otras funciones. Gracias!

    thumb_up0 voto/sflag
  • icon

    Alejandro
    el 20/8/18

    como consigo introducir una fracción en una radical

    replythumb_up0 voto/sflag
    icon

    Guillem De La Calle Vicente
    el 20/8/18


    thumb_up2 voto/sflag
  • icon

    ROSA R
    el 20/8/18
    flag

    Miguel  ponme  like  en mis respuestas yo te he dado el like en tu uníca pregunta 


    replythumb_up0 voto/sflag
    icon

    Guillem De La Calle Vicente
    el 20/8/18

    Tienes que responder debajo de la pregunta de Miguel, en un símbolo que aparece y que se llama 'responder'. Ya lo tendrás en cuenta para la siguiente vez.

    Saludos.

    thumb_up2 voto/sflag
    icon

    ROSA R
    el 1/4/19

    vale perdón . ponme algun me gusta o algo



    thumb_up0 voto/sflag
  • icon

    ROSA R
    el 20/8/18
    flag

    Y si no es eso concretalo

    replythumb_up0 voto/sflag
    icon

    Guillem De La Calle Vicente
    el 20/8/18

    Tienes que responder debajo de la pregunta de Miguel, en un símbolo que aparece y que se llama 'responder'. Ya lo tendrás en cuenta para la siguiente vez.

    Saludos.

    thumb_up1 voto/sflag
  • icon

    ROSA R
    el 20/8/18
    flag

    Hola Miguel ,de mates de industria pues mira los vídeos de tu curso.OK ymira los temas que haya

    replythumb_up0 voto/sflag
    icon

    Guillem De La Calle Vicente
    el 20/8/18

    Tienes que responder debajo de la pregunta de Miguel, en un símbolo que aparece y que se llama 'responder'. Ya lo tendrás en cuenta para la siguiente vez.

    Saludos.

    thumb_up0 voto/sflag
  • icon

    ROSA R
    el 20/8/18
    flag

    Hola Miguel lo de física y química cuenta lo en el foro de física y química

    replythumb_up0 voto/sflag
    icon

    Guillem De La Calle Vicente
    el 20/8/18

    Tienes que responder debajo de la pregunta de Miguel, en un símbolo que aparece y que se llama 'responder'. Ya lo tendrás en cuenta para la siguiente vez.

    Saludos.

    thumb_up0 voto/sflag
  • icon

    Miguel
    el 20/8/18

    Buenas tardes. Para comenzar el grado en industriales, y como apoyo, qué me recomendaríais que repasara en cuanto a matemática, física y química?


    Gracias, un saludo.

    replythumb_up1 voto/sflag
    icon

    Guillem De La Calle Vicente
    el 20/8/18

    Repasa lo que se da en bachillerato.


    MATEMÁTICAS: hay muchos tipos de empleo muy relacionados con la formación en ingeniería industrial como para guiarte con qué matemáticas se utilizan en este grado. La estadística tiende a surgir en el trabajo de fabricación convencional relacionado con el control estadístico de procesos y el uso de gráficos de control de calidad. Muchos de los cálculos básicos no están realmente orientados a las matemáticas superiores, más bien se trata de usar principios fundamentales y aplicar fórmulas relativamente simples. Por ejemplo, en una empresa pueden surgir los cálculos de potencia y flujo de aire, en formas bastante simples que nunca entran en juego el cálculo  y el modelado sofisticado. No son matemáticas en el sentido que la gente normalmente las considera, pero las finanzas básicas también son útiles en algunos contextos. Calcular la distribución de costos y el retorno de la inversión a través del tiempo para los gastos de capital y otros proyectos puede ser muy importante. Los ingenieros industriales estudian varios tipos de matemáticas incluyendo cálculo, análisis numérico, estadística, álgebra lineal, métodos numéricos, investigación de operaciones, etc. No necesariamente las utilizan en sus actividades diarias, pero ayudan a construir una mentalidad analítica que muchos empleadores valoran. Se estudia mucha Estadística a causa del control estadístico de un proceso. Álgebra lineal debido a las matrices de dimensiones muy grandes en optimización lineal y programación. Las derivadas comunes y Integrales son también una herramienta fuerte. Por lo tanto, en general, las aplicaciones matemáticas son importantes para conocer. Todo esto se puede utilizar en la planificación logística y en la planificación de la producción, aunque el software elimina gran parte de ese trabajo. No es muy común utilizar en el empleo, la parte del cálculo.


    FÍSICA: la física de la ingeniería tiene como objetivo la interfuncionalidad y tiende un puente entre la ciencia teórica y la ingeniería práctica con énfasis en la investigación y el desarrollo, el diseño y el análisis que los ingenieros industriales necesitan mientras trabajan en su campo. Se necesita estudiar el tiempo y el movimiento, por ejemplo. Se enfatiza la aplicación de principios científicos básicos al diseño de equipos, que incluyen sistemas electrónicos y electromecánicos, para su uso en mediciones, comunicaciones y adquisición de datos. Debes centrarte en tus habilidades de manipulación y conceptualización que también implica la física que se puede utilizar al diseño de una estación de trabajo, la elaboración de estrategias para diversas logísticas operativas, la consultoría, el desarrollo de un algoritmo, la planificación de esquemas. Todas las formas, aspectos y prácticas que ellos hacen, la física siempre se aplica. La ciencia de la materia y la energía y de las interacciones entre ambas, agrupadas en campos como la acústica, la óptica, la mecánica, la termodinámica y el electromagnetismo, así como en física moderna que incluye la física atómica y nuclear, la física del estado sólido, la física de partículas.


    QUÍMICA: la química será importante en el grado si quieres aplicar los principios de un ingeniero en una industria de productos químicos, entonces tal vez necesitas saber algunos principios de la química para que pueda tomar decisiones en consecuencia. Pero eso serán principios básicos o moderados y de naturaleza poco avanzada. Sería la parte que menos te diría que repasaras.


    Saludos.

    thumb_up1 voto/sflag