Foro de preguntas y respuestas de Matemáticas

logo beUnicoos
Los foros de unicoos se han unificado en nuestra nueva plataforma beUnicoos. Para dejar nuevas preguntas deberás hacerlo allí, donde además podrás encontrar nuevas asignaturas y herramientas para ayudarte más con tus estudios.

  • icon

    REALIFE
    el 18/8/18

    1. Buenas,me podrian ayudar por favor es de urgencia,gracias unicoos...

    replythumb_up0 voto/sflag
    icon

    Antonius Benedictus
    el 18/8/18


    thumb_up1 voto/sflag
  • icon

    Antonio
    el 17/8/18

    Me podrian ayudar a resolver estos ejercicios de 4to de la ESO 

    Muchas Gracias

    replythumb_up0 voto/sflag
    icon

    Antonius Benedictus
    el 17/8/18

    Te va el último:


    thumb_up0 voto/sflag
    icon

    Antonius Benedictus
    el 17/8/18


    thumb_up0 voto/sflag
    icon

    Guillem De La Calle Vicente
    el 17/8/18


    thumb_up1 voto/sflag
  • icon

    Dani Gomariz
    el 17/8/18
    flag

    Hola, alguien puede ayudarme con este ejercicio? Saludos y gracias de antemano

    replythumb_up0 voto/sflag
    icon

    Guillem De La Calle Vicente
    el 17/8/18

    Hola! Me encantaría ayudarte, pero no respondemos dudas universitarias que no tengan que ver específicamente con los videos que ya ha grabado como excepcion el profe. O de otras asignaturas que no sean matemáticas, física y química. Lo siento de corazón… Espero lo entiendas

    Unicoos llega exclusivamente hasta secundaria y bachillerato

    thumb_up0 voto/sflag
    icon

    Dani Gomariz
    el 18/8/18

    Vale, no pasa nada, preguntare por otro sitio, es k tengo el examen en un par de semanas y no se resolverlo, se me había ocurrido hacerlo con el van, pero son muchos periodos y no creo k sea así


    thumb_up0 voto/sflag
  • icon

    Cristina
    el 17/8/18

    Hola,por favor me podriais resolver y explicar este ejercicio:

    Averigua el valor de los numeros a,b,c,d y e representados sobre la siguiente recta:


    replythumb_up0 voto/sflag
    icon

    César
    el 17/8/18


    thumb_up1 voto/sflag
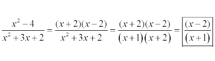
  • icon

    Jhonaiker Blanco
    el 17/8/18

    No hay texto alternativo automático disponible.Alguien me podria ayudar 


    replythumb_up0 voto/sflag
    icon

    Antonius Benedictus
    el 17/8/18


    thumb_up0 voto/sflag
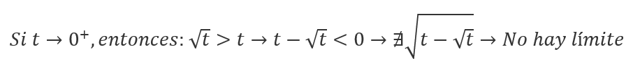
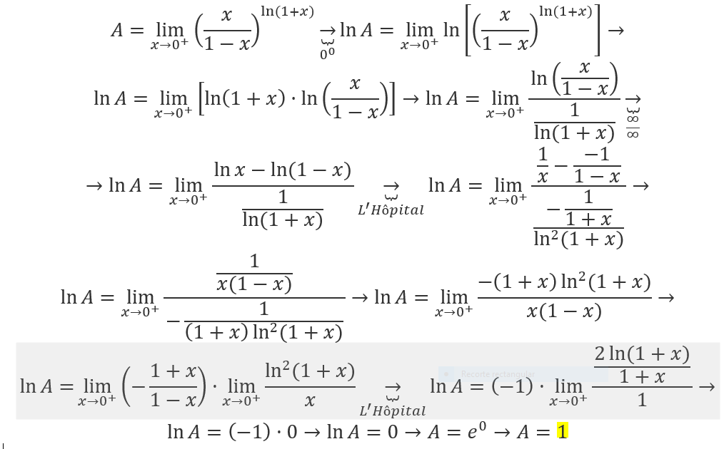
    icon

    Jhonaiker Blanco
    el 21/8/18

    Lo siento pero por qué al final de la segunda linea se dividen los logaritmos neperianos?


    thumb_up0 voto/sflag
  • icon

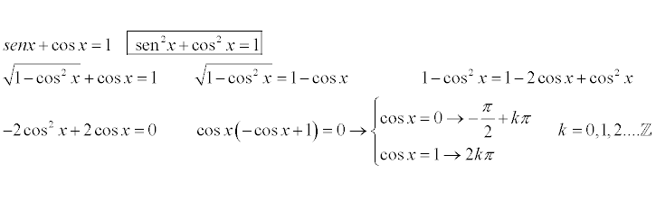
    Kevin Kar
    el 17/8/18

    Me ayudan con este ejercicio plis!!!

    seno x +1=cos x

    replythumb_up0 voto/sflag
    icon

    Antonius Benedictus
    el 17/8/18


    thumb_up0 voto/sflag
    icon

    César
    el 17/8/18

    Otra forma:




    thumb_up0 voto/sflag
  • icon

    Grace Aldana
    el 16/8/18

    Hola. Podrías ayudarme con estos ejercicios? Algún consejo para realizar este tipo de ejercicios?  muchísimas gracias.

    -Determina m y n sabiendo que la recta r: 8x+ny = 5 pasa por el punto P(1,3) y es paralela a la recta s: mx +3y -2=0

    -encuentra el ángulo que forma la recta que pasa por el punto (-3,2) y por el punto de intersección de las rectas r i s con la recta x+5y-6=0

    r:3x-y-9=0          s: x-3=0


    replythumb_up1 voto/sflag
    icon

    César
    el 16/8/18


    thumb_up0 voto/sflag
  • icon

    Antonio
    el 16/8/18


    replythumb_up0 voto/sflag
    icon

    César
    el 16/8/18



    thumb_up1 voto/sflag
  • icon

    Mariano Cornejo
    el 16/8/18

    Hola unicoos quisiera saber cómo resuelvo éste problema, muchísimas gracias por su ayuda.

    En un local de venta de electrodomésticos te recargan el 15% por pago con 

    tarjeta y te descuentan el 10% por pago contado. Un matrimonio decidió 

    comprar, con tarjeta una heladera de $8000 en 12 cuotas fijas; y, al contado 

    un LED de $10500. 

    a) ¿Cuál fue el valor de cada cuota de la heladera?

    b) ¿Cuánto pagaron por el LED?

    c) ¿Cuál fue el costo final de la compra?


    replythumb_up0 voto/sflag
    icon

    César
    el 16/8/18



    thumb_up1 voto/sflag
  • icon

    Ivannia Navarrete
    el 16/8/18

    Me ayudan con el ejercicio 2 por favor

    replythumb_up0 voto/sflag
    icon

    César
    el 16/8/18


    thumb_up1 voto/sflag