Supongamos que la altura de las mujeres de una cierta población sigue una distribución normal de media 1'65 metros y desviación típica 0'08 metros. Por otro lado, la altura de los hombres de la misma población sigue una distribución normal de media 1'75 metros y desviación típica 0'07 metros.
Si tenemos una muestra de 10 personas de esta población formada por 7 mujeres y 3 hombres, ¿cuál es la probabilidad de que la media de las alturas de estas 10 personas sea mayor de 1'70 metros?
Buenas día a ustedes unicoss......
Alguien de por favor me podría ayudar con las alternativas del problema de un S.E.L (Sistema de Ecuaciones Lineales).
Agradezco de antemano a la persona que me ayude... Mil gracias. Saludos.
Buenas unicoos me podrian explicar sobre la ESTABILIDAD DE LYAPUNOV

¡Hola! Nos encantaría ayudarte, pero no solemos responder dudas universitarias que no tengan que ver específicamente con los vídeos que David Calle ha grabado como excepción. O de otras asignaturas que no sean Matemáticas, Física y Química. Lo sentimos de corazón… Esperamos que lo entiendas.
Ojalá algún unicoo universitario se anime a ayudarte (de hecho, lo ideal es que todos los universitarios intentarais ayudaros los unos a los otros).
Hola unicoos necesito ayuda con este ejercicio hallar los autovalores y autovectores (paso a paso) , gracias de antemano
x' = (1/2) - x^(1/2)
y' = x^(1/2) - y^(1/2)

¡Hola! Nos encantaría ayudarte, pero no solemos responder dudas universitarias que no tengan que ver específicamente con los vídeos que David Calle ha grabado como excepción. O de otras asignaturas que no sean Matemáticas, Física y Química. Lo sentimos de corazón… Esperamos que lo entiendas.
Ojalá algún unicoo universitario se anime a ayudarte (de hecho, lo ideal es que todos los universitarios intentarais ayudaros los unos a los otros).
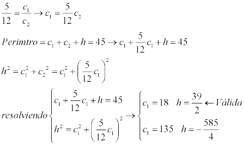
Hola... Buen día amigos de unicoos..
Necesito de su ayuda con un ejercicio de geometría, no lo comprendo bien y no logró dar con la respuesta.
_____________________________________________________
Gracias de antemano...