Foro de preguntas y respuestas de Matemáticas

logo beUnicoos
Los foros de unicoos se han unificado en nuestra nueva plataforma beUnicoos. Para dejar nuevas preguntas deberás hacerlo allí, donde además podrás encontrar nuevas asignaturas y herramientas para ayudarte más con tus estudios.

  • icon

    Ingrid
    el 3/9/17

    Me podrian ayudar con este ejercicio, por favor


    replythumb_up0 voto/sflag
    icon

    Desencadenado
    el 3/9/17


    thumb_up0 voto/sflag
    icon

    Ángel
    el 3/9/17

    Supongo que te dará problemas el cálculo de las asíntotas verticales, debes usar el método de los divisores binómicos:

    https://es.wikipedia.org/wiki/Divisores_binómicos

    https://www.youtube.com/watch?v=cAYL-fkEdiw


    A.H. ----> x= -6

    A.V. -----> x=4 , x=5

    Inténtalo y si no te sale nos cuentas.

    thumb_up0 voto/sflag
    icon

    Ingrid
    el 4/9/17

    Gracias, a seguir repasando

    thumb_up0 voto/sflag
  • icon

    Jonathan Yañez
    el 3/9/17

    ---------------- LIMITES ----------------

    lim          (x^2-x+1) / (cos(x)-1)

    x-->0   LA RESPUESTA ES  MENOS INFINITO

    Mi resolución:

    lim          (x^2-x+1) / (cos(x)-1)

    x-->0

    lim          (x^2-x+1)  (cos(x)+1)/ (cos(x)-1) (cos(x)+1)

    x-->0

    lim          (x^2-x+1)  (cos(x)+1)/ (cos^2(x) - 1)

    x-->0

    lim          (x^2-x+1)  (cos(x)+1)/ -(sen^2(x))

    x-->0

    lim          (x^2-x+1)  (cos(x)+1)/ [(-sen(x)x)/x][(sen(x)x)/x]

    x-->0

    lim          (x^2-x+1)  (cos(x)+1)/ -x^2

    x-->0

    Acá me quede estancado y si reemplazo no llego a la rta. (menos infinito)


    replythumb_up0 voto/sflag
    icon

    Guillem De La Calle Vicente
    el 3/9/17


    thumb_up1 voto/sflag
  • icon

    Mario Medina
    el 3/9/17

    definir el lim X->x0  f(x)= ∞ analitica y graficamente

    y definir el lim x-> ∞ f(x)=L analitica y graficamente


    hola me ayuda con esta pregunta teorica porque la busque y no la entiendo

    replythumb_up0 voto/sflag
    icon

    Antonius Benedictus
    el 3/9/17


    thumb_up0 voto/sflag
    icon

    Antonius Benedictus
    el 3/9/17


    thumb_up0 voto/sflag
    icon

    Guillem De La Calle Vicente
    el 3/9/17



    thumb_up0 voto/sflag
  • icon

    Andres Sampayo
    el 3/9/17
    flag

    una ayuda por favor


    replythumb_up0 voto/sflag
    icon

    Antonius Benedictus
    el 3/9/17
    flag


    thumb_up0 voto/sflag
    icon

    Antonius Benedictus
    el 3/9/17
    flag


    thumb_up0 voto/sflag
  • icon

    Lucia Anguita
    el 3/9/17

    Si aumento en 4cm el lado de un cuadrado su área aumenta 120cm2. Calcula el perímetro del cuadrado. Plantea y resuelve una ecuación para encontrar una solución

    gracias

    replythumb_up0 voto/sflag
    icon

    Antonius Benedictus
    el 3/9/17


    thumb_up2 voto/sflag
  • icon

    Guillem De La Calle Vicente
    el 3/9/17

    Sea f una función con dominio simétrico respecto al origen, es decir, si x pertenece a su dominio, -x también pertenece.

    Demuestre que sólo existe una forma de escribir f como la suma de una función par y una función impar. Sugerencia: Una forma estaba dada en la otra demostración. Si pudiera expresarse también f(x)=E1(x)+O1(x), siendo E1 una función par y O1 una función impar, entonces E-E1=O1-O, y utilice después esto (si f es una función par e impar, entonces debe cumplirse que f(x)=0 en todo punto de su dominio) para demostrar que E=E1 y O=O1.

    replythumb_up0 voto/sflag
    icon

    Antonius Benedictus
    el 3/9/17


    thumb_up0 voto/sflag
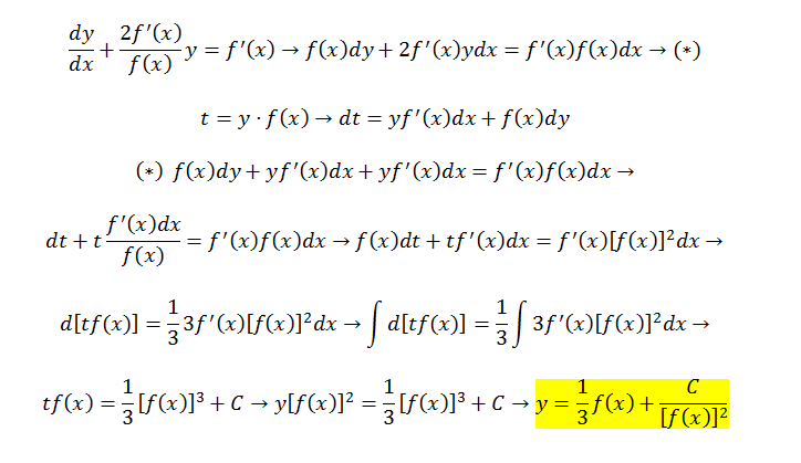
  • icon

    Sara
    el 3/9/17

    Como se hace este?? Gracias de antemano 😊

    replythumb_up0 voto/sflag
    icon

    Axel Morales Piñón.
    el 3/9/17

    CAMBIO:

    u = ln|x| → du=dx/x → eudu=dx

    eu = x


    thumb_up0 voto/sflag
    icon

    Sara
    el 3/9/17

    No entiendo, la solución  cual es?

    thumb_up0 voto/sflag
    icon

    Antonius Benedictus
    el 3/9/17

    La integral indefinida es por partes:

    u=ln x

    dv=x dx

    thumb_up0 voto/sflag
    icon

    Axel Morales Piñón.
    el 4/9/17


    thumb_up1 voto/sflag
  • icon

    Lucia Anguita
    el 3/9/17
    flag

    Cómo saber razonadamente si un número esta dentro de una progresión aritmética

    replythumb_up0 voto/sflag
    icon

    Antonius Benedictus
    el 3/9/17


    thumb_up1 voto/sflag
  • icon

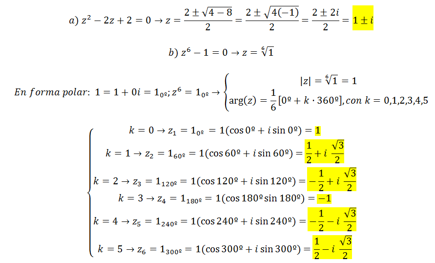
    peerdido en estudio
    el 3/9/17

    ¿Alguien me podría explicar? No sé que se hace con la z, en otros ejercicios me daban lo que era la z pero en este no me dice que vale y no se que se hace ahi.


    replythumb_up0 voto/sflag
    icon

    Antonius Benedictus
    el 3/9/17


    thumb_up1 voto/sflag
    icon

    Andres Sampayo
    el 3/9/17

    crea la igualdad de Z o despeja Z


    thumb_up1 voto/sflag
  • icon

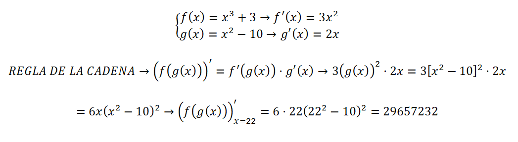
    Ingrid
    el 3/9/17


    me podrian ayudar con este  ejercicio, po favor: Se f yg dos funciones con regla de correspondencia


    replythumb_up0 voto/sflag
    icon

    Antonius Benedictus
    el 3/9/17


    thumb_up0 voto/sflag
    icon

    Desencadenado
    el 3/9/17


    thumb_up0 voto/sflag