1. El volumen de una cono que tiene una base de área 900cm2 y una altura de 10cm es
a. 3000cm3
b. 300cm3
c. 1000cm3
d. 100cm3
2. El volumen de un paralelepípedo de 10cm, 20cm y 30cm de ancho, alto y largo respectivamente es
a. 3000cm3
b. 6000cm3
c. 600cm3
60000cm3

Hola daniel, no tengo ni idea de catalán así que no podré ayudarte jeje 😏
es broma, los resultados son
14. B) 1260/120 = 10,5€/m2
15. D) 1/2, ya que hace los mismo que el resto de los operarios
16. D) teorema de pitagoras , la suma de los catetos al cuadrado es igual a la hipotenusa al cuadrado
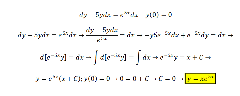
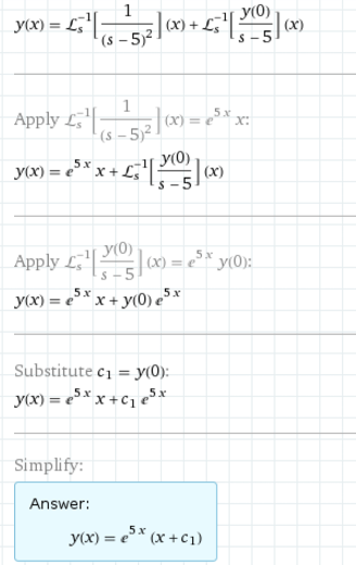
Buenas a todos, querria que me ayudeis en esta ecuacion diferencial por laplace.
Y'-5y=e^5t y(0)=0
Estoy intentado hacerla pero yo creo que no se puede hacer o bien da
e^-5xcosx -5xsenx
Hola me pueden ayudar con estas preguntas por favor
Las preguntas 7, 8 y 9 se responden con base en la siguiente gráfica:
1. La pendiente de la recta es
a. -1/2
b. 2
c. 1/2
d. -2
2. La ecuación de la recta es
a. Y=2x+2
b. Y=1/2x-2
c. Y=1/2x+2
d. Y=2x-2
3. El valor de la función cuando x vale 2 es
a. -1
b. 1
c. 2
d. -2