Hola, como se resolvería este ejercicio:
Determina el área del paralelogramo ABCD, sabiendo que la ecuación del lado AB es x-2y=0, la ecuación del lado AD es 3x+y=0, y las coordenadas del punto C son (3,5).

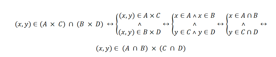
La intersección de las rectas AB y AD será el punto A (resuelve el sistema de ecuaciones)
Aplicando lo que hago en este vídeo, podrás obtener las ecuaciones necesarias para obtener los vertices B y D...
Para hallar el area.. Echale un vistazo a estos videos y nos cuentas ¿ok?. Geometria en el plano 01 Producto escalar y vectorial de dos vectores
Se trata de que DESPUES DE IR A CLASE (ver los vídeos relacionados con
vuestras dudas) enviéis dudas concretas, muy concretas. Y que nos enviéis
también todo aquello que hayais conseguido hacer por vosotros mismos. Paso a
paso, esté bien o mal. No solo el enunciado. De esa manera podremos saber vuestro
nivel, en que podemos ayudaros, cuales son vuestros fallos.... Y el trabajo
duro será el vuestro. Nos cuentas ¿ok? #nosvemosenclase ;-)

Los euros que llevaba, x. El precio de la compra, y
Los centimos que le han sobrado serán el resultado de (x-y)/ 100.. Lo que le sobra, dividido entre 100. Y como dice que son igual al numero de euros del principio.. .(x-y)/100 = x... x-y=100x.... y=-99x, lo cual es imposible...
Desconozco de donde sacas estos ejercicios, pero son más propios d euna olimpiada matematica que de una leccion de plantear ecuaciones. Por cierto, te sugiero esos videos.. Plantear ecuaciones

Si al dividirlo entre cinco da de resto 2, entonces es que termina en 2 o 7 (los numeros divisibles entre 5 terminan en 0 o 5)
Si al dividirlo entre 7 da de resto 4, las diferentes posibilidades serán todos los numeros de la tabla del 7, si les sumas 4... 11,18,25,32,39,46,53,60,67,74...
Segun la primera condicion será el 32 o el 67?... 32/9=3 y de resto 5.. Imposible .. 67/9=7 y de resto 4... Tampoco..
Seguiría intentandolo hasta encontrarlo. Te lo dejo a tí.
Y otra duda... Si tengo una función donde su dominio sea, por ejemplo: (1,+∞), ese 1 por ser punto abierto se tomaría para evaluar la asintota vertical? es decir, se evaluaría el limite de la función cuando x tiende a 1?