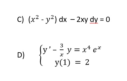
Hi. Hola otra vez, quiero otra ayuda mas de ustedes, µnicoos, ayudemne x fa kon esta tarea de matematicas, necesito hacer correctamente estos problemas para estudiar, ya me caí anteriormente en una prueba y tengo que mejorar. Gracias nuevamente unicos por su ayuda con estoa dos ejercicios más.Thanks you.
Hello µnicoos me podrian de favor ayudar con la igualdad, el tema trata de serie numerica, también tengo una duda. ¿Es posible demostrar la igualdad sin operar? Suponiendo que en el primer miembro de la igualdad haya que sumar hasta n=997 o infinito. Gracias x esa ayudita amigos, gracias, besos y saludos. Thanks.
Hola maestros de unicoos, por favor ayuda con estos límites ya me enrrede en este tema, ando estresado y confundido, me explicaron límites viendo funciones normales, luego con sucesiones y no comprendo muy bien, ando viendo videos y leyendo libros pero no consigo respuesta positiva. Ayudenme con este problema sin saltarse pasos importantes de límites y gracias de antemano. Saludos. Att: El Toby.

Te sugiero estos videos.... tus ejercicios son especialmente básicos y sencillos... Limite infinito entre infinito 01 ANIMO!
Hice esta solemne del 2015 casi completa porque creo que en la c de la 1 me falto algo, pero lo que pasa es que no estoy segura de que este bien la c,d,e de la 2 y la f la hice pero sinceramente no la entendí , me podrían explicar por favor
Hola Unicoos!! podrían ayudarme con este ejercicio de rectas? No sé si lo estoy haciendo bien.... ahora cómo hago para saber el valor de k?? Gracias!

El sistema será compatible determinado si el rango(A)=rango(A*)... Es un ejercicio de DISCUTIR SISTEMAS.. Echale un vistazo... Discutir un sistema 01 - ROUCHE
Antes de empezar "maquillaría un poco tus ecuaciones... La primera, multiplicandola por 4, te quedará -x-4y+8=0..... x+4y=8
La segunda, multiplicandola por K... k.y=-2x+2a... 2x+k.y=2a...
Hoola! ¿Cómo hallarían el área sombreada en rojo entre las dos funciones funciones? Las funciones son f(x)= x^2 -1 y g(x)= 5-x Gracias!
Aqui tienes Alien. El ejercicio debes tratarlo por partes. En este caso consideré como Área 1 a toda el área encerrada entre las curvas para saber el intervalo hallamos su puntos de intersección que representaran los limites de integración y el área 2 al área bajo la curva solo de la parábola. Aplicamos propiedad de simetría porque es una función par. Luego el área sombreada = Área 1 - Área 2. Saludos.