Alguien me puede decir si lo estoy haciendo bien y como se hacen los apartados c) y d) ?? Muchas gracias! :)

Hola Luis,
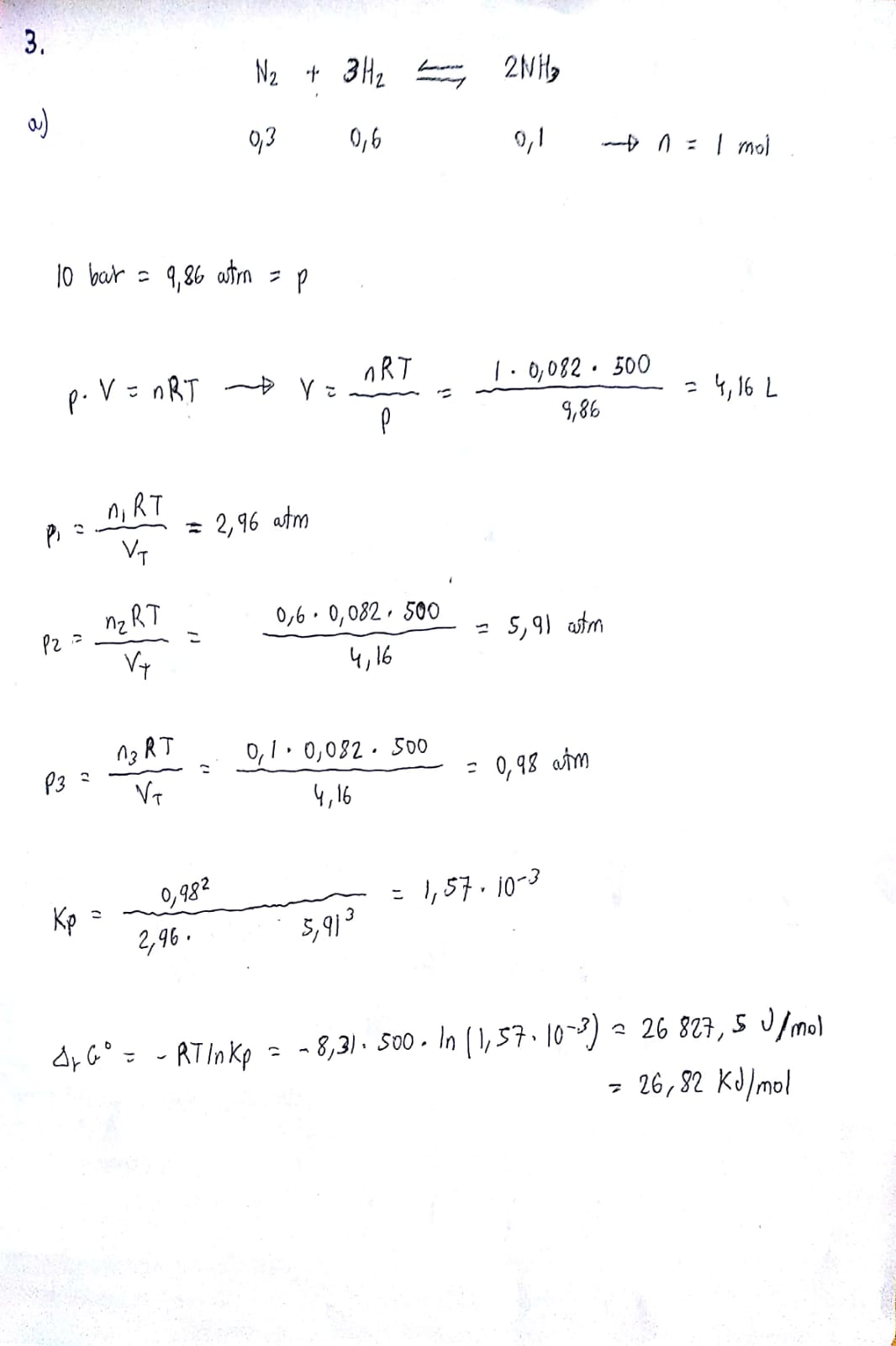
los datos que te dan en el enunciado NO son en equilibrio, por lo tanto no puedes deducir Kp a partir de ahí.
Lo único que veo claro es que en los Datos, precisamente te dan ΔrGº Así que yo daría ese dato como correcto, y a partir de ahí calcularía Kp.
El cálculo de ΔrG es correcto.
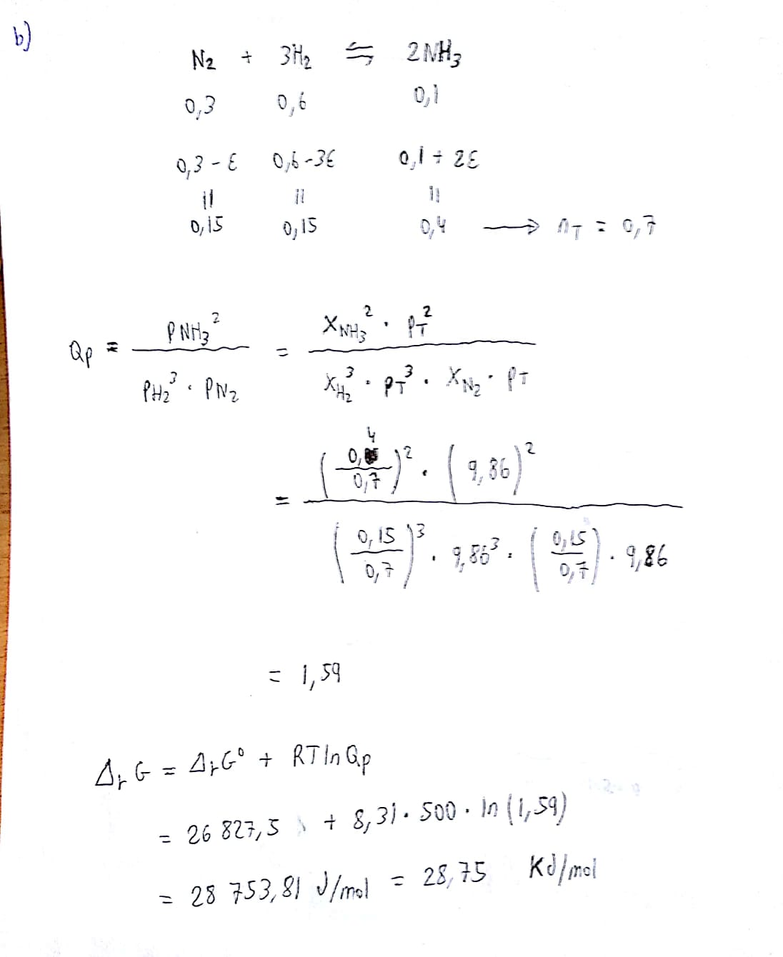
En los apartados c y d serían lo equivalente a "los moles que reaccionan" en el equilibrio. En ese punto se trataría de sustituir en el equilibrio, luego calcular los moles totales que resultaría, y la presión total en el equilibrio. Con ello lo tienes.
Para la temperatura es ídem, suponiendo P = cte (10 bar).
Un saludo,
Breaking Vlad
no se, pero me da 0.159 g y no estoy segura de la respuesta :/
calculo la fracción molar y la presión total, pero cuando el pasaje de unidades (ya que todo lo obtengo en atmosféricos) no me coinciden con las respuesta.
quisiera por favor que me digan, al menos, el desarrollo de la presión parcial para el nitrógeno
Hola, quería saber como se nombran los éteres cíclicos cuando están sustituidos. Para mi esta se nombra 4- formil- 6-oxo tetrahidrofurano?
Desde ya muchas gracias!