
Te sugiero este video..
Ajustar reacciones mediante el método redox en medio ácido
A partir de ahí, se trata de que DESPUES DE IR
A CLASE (ver los vídeos relacionados con vuestras dudas) enviéis dudas
concretas, muy concretas. Y que nos enviéis también todo aquello que hayais
conseguido hacer por vosotros mismos. Paso a paso, esté bien o mal. No solo el
enunciado. De esa manera podremos saber vuestro nivel, en que podemos ayudaros,
cuales son vuestros fallos.... Y el trabajo duro será el vuestro. Nos cuentas
¿ok? #nosvemosenclase ;-)
hola una pregunta si quiero separar agua y aceite por medio de decantacion y al final sigo obteniendo agua con particulas de aceite que hacen que el agua aun sea turbia que proceso se deberia realizar para que se eliminen por completo dichas particulas y por que no es suficiente el metodo de decantacion para separar las mezclas mencionadas?
hola buenas ,
¿Por qué hay algunos medicamentos que se meten en la nevera?
Las reacciones químicas se ralentizan a temperaturas más bajas; la refrigeración puede aumentar la vida útil de los medicamentos que no durarían lo suficiente a temperatura ambiente.
La refrigeración puede ser importante para el ingrediente activo o para el medicamento en su conjunto.
Tenga en cuenta que la refrigeración también puede ser un problema para algunos medicamentos, por lo que es importante seguir las instrucciones de almacenamiento.
Los efectos de la falta de refrigeración a corto plazo de los medicamentos que se supone que están refrigerados varían para una compilación de las instrucciones del fabricante para una variedad de medicamentos.
Saludos.
Me ayudáis con este por favor que mañana tengo examen, gracias:
Para las moléculas C2F2 y CH3Cl:
a) Determine la geometría molecular utilizando la teoría de repulsión de pares de electrones de la capa de valencia. (0,5 puntos)
b) Indique, justificando brevemente la respuesta, si se trata de moléculas polares. (0,5 puntos)
c) Indique, justificando brevemente la respuesta, si alguno de los átomos implicados en estas moléculas ha sufrido alguna hibridación, indicando en su caso cual. (0,5 puntos)

Te sugiero este video..
Geometría molecular según TRPECV
Electronegatividad y Polarización
Hibridación | Concepto
A partir de ahí, se trata de que DESPUES DE IR
A CLASE (ver los vídeos relacionados con vuestras dudas) enviéis dudas
concretas, muy concretas. Y que nos enviéis también todo aquello que hayais
conseguido hacer por vosotros mismos. Paso a paso, esté bien o mal. No solo el
enunciado. De esa manera podremos saber vuestro nivel, en que podemos ayudaros,
cuales son vuestros fallos.... Y el trabajo duro será el vuestro. Nos cuentas
¿ok? #nosvemosenclase ;-)
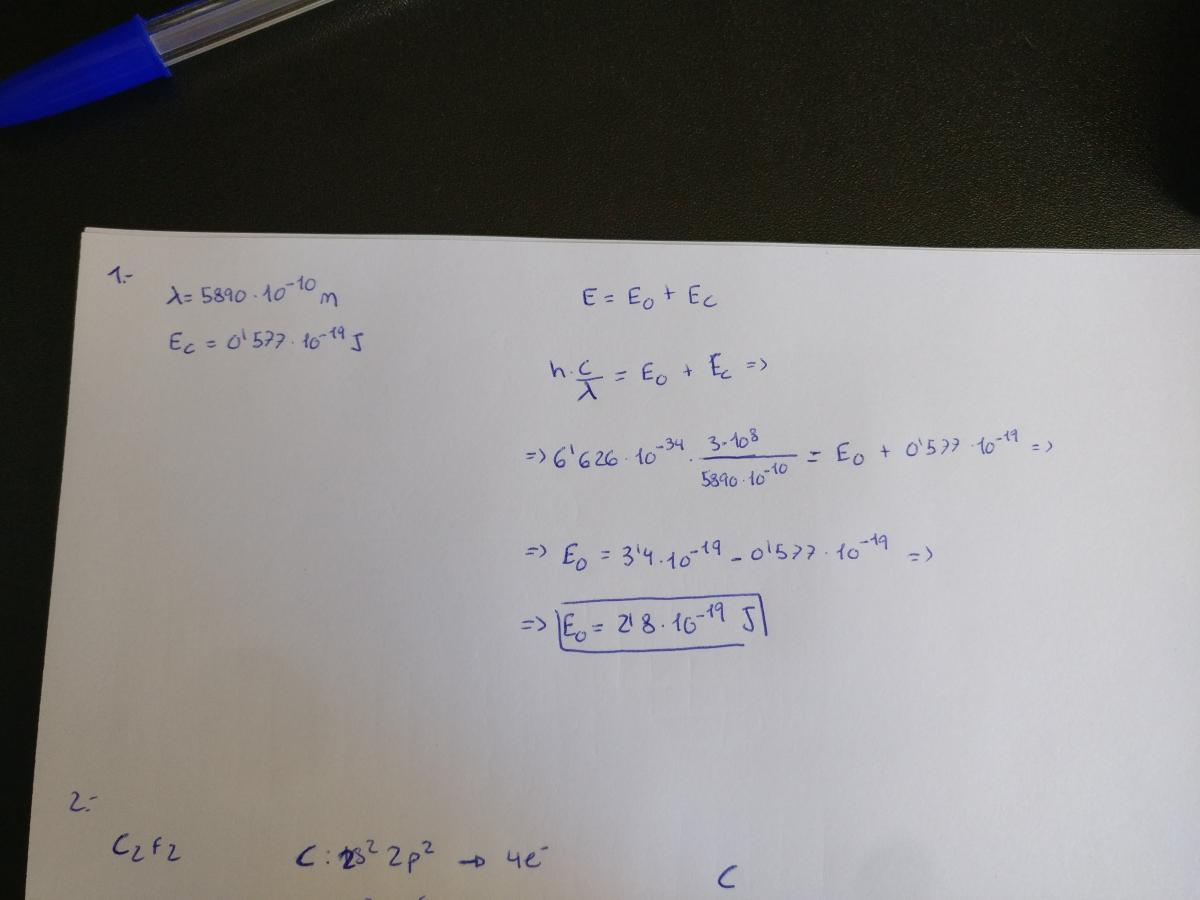
Como hago el apartado segundo? Esta bien el primer apartado? Gracias.
Al iluminar potasio con luz amarilla de sodio de λ=5890∙10‐10 m se liberan electrones con una energía cinética máxima de 0,577∙10‐19 J. Calcule el valor del trabajo de extracción del potasio y el valor de la longitud de onda a partir de la cual se produce efecto fotoeléctrico

Te sugiero este tema..
Química Orgánica
A partir de ahí, se trata de que DESPUES DE IR
A CLASE (ver los vídeos relacionados con vuestras dudas) enviéis dudas
concretas, muy concretas. Y que nos enviéis también todo aquello que hayais
conseguido hacer por vosotros mismos. Paso a paso, esté bien o mal. No solo el
enunciado. De esa manera podremos saber vuestro nivel, en que podemos ayudaros,
cuales son vuestros fallos.... Y el trabajo duro será el vuestro. Nos cuentas
¿ok? #nosvemosenclase ;-)
Alguien me ayuda con este ejercicio de la ley de Gay Lussac?
Un gas ocupa un recipiente de 1,5 litros de volumen constante a 323 k y 73,32 kPa. Qué pasa si aumenta la presión interna hasta 102,65 kPa? La temperatura en k:
a) disminuye a 189,2
b) aumenta a 179,2
c) aumenta a 452,2
d) aumenta a 179,2

Te sugiero este video..
Gas ideal - Ley de Gay Lussac
A partir de ahí, se trata de que DESPUES DE IR
A CLASE (ver los vídeos relacionados con vuestras dudas) enviéis dudas
concretas, muy concretas. Y que nos enviéis también todo aquello que hayais
conseguido hacer por vosotros mismos. Paso a paso, esté bien o mal. No solo el
enunciado. De esa manera podremos saber vuestro nivel, en que podemos ayudaros,
cuales son vuestros fallos.... Y el trabajo duro será el vuestro. Nos cuentas
¿ok? #nosvemosenclase ;-)