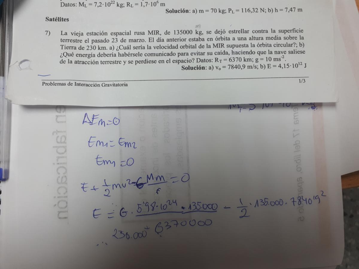
ayudarme porfa
1) Calcula, en Julios, la variación de energía interna que experimenta un sistema que:
a) Absorbe 100 calorías y realiza un trabajo sobre el exterior de 300 J
b) Libera 100 calorías y realiza sobre el exterior un trabajo de 300J
c) Absorbe 100 calorías y recibe del exterior un trabajo de 300 J
d) Libera 100 calorías y recibe del exterior un trabajo de 300 J.
Dato: 1 cal = 4,18 J.
Hola! Podrían ayudarme con el siguiente ejercicio? Muchas gracias! "Se tratan 250 g de NaCl con ácido sulfúrico concentrado de densidad 1.83 g/ml y 93.64% de riqueza. Si el ácido se agrega en un exceso del 20%, respecto a la formación de Na2SO4, calcular el volumen de ácido sulfúrico utilizado."
Hola buenas tengo una duda en este ejercicio
- Para la reacción de combustión del 1,3−butadieno: a) Escriba y ajuste la reacción. b) Calcule la entalpía de la reacción e indique si es exotérmica o endotérmica. c) Justifique cuál será el signo de la variación de entropía de la reacción. d) Razone si la reacción es espontánea a temperaturas altas o bajas. Datos. Hf o (kJ·mol−1 ): butadieno (g) = 108,8; CO2 (g) = 393,5; H2O (l) = 285,8.
Es en el apartado b y c la entalpia de reacción es con los enlaces que se forman y se destruyen o la entalpias de productos menos la de reactivos?? Y el c es que no lo entiendo. Muchas gracias
Hola chicos, tengo la siguiente ecuación redox.
K3[Fe(CN)6] + Ce2O3+ KOH= K4[Fe(CN)6] + CeO2 + H2O

(1e-+Fe+3------------------Fe+2) x2
H2O+Ce2O3------------2 CeO2+2H+ +2e
-------------------------------------------------------
2Fe+3 +H20+Ce2O3------------2 CeO2+2H+ 2Fe+2
+2OH- +2OH-
--------------------------------------------------------------------
2Fe+3 +2OH-+Ce2O3------------2 CeO2+H2O+ 2Fe+2
2K3[Fe(CN)6] + Ce2O3+2 KOH=2 K4[Fe(CN)6] +2 CeO2 + H2O
¡Hola! ¿Podrían ayudarme con este ejercicio? El enunciado es este: "Se dispone de 500 ml de disolución de ácido sulfúrico del 26% en peso, cuya densidad es 1.19 g/cm3. ¿Cuántos cm3 de la disolución inicial serán necesarios para neutralizar exactamente otra disolución que contiene 5 g de hidróxido de potasio?"
Hola, me gustaría saber ya que no encuentro el video, el tipo de gramos que obtenemos cuando hacemos los cálculos, es decir si son teóricos, puros, etc.