Ayuda con esto por favor...
¿Por qué tienen los dos la misma configuración electrónica? Seguro que es una pregunta tonta pero tengo que estudiarme este tema por mi cuenta para selectividad y tengo muchas dudas... gracias
Lili si te das cuenta el numero atómico (Z) de cada uno es:
Mn (z)= 25; Pero en el ejercicio sale que cedió 2 electrones por lo que su (z)=23
Fe (z)= 26; En el ejercicio cedió 3 electrones por lo que su (z)= 23
Por lo tanto como los dos tienen el mismo numero másico (z) van a tener la misma conf. electrónica

Te sugiero este video..
Producto de SOLUBILIDAD 01
A partir de ahí, se trata de que DESPUES DE IR A CLASE (ver los vídeos relacionados con vuestras dudas) enviéis dudas concretas, muy concretas. Y que nos enviéis también todo aquello que hayais conseguido hacer por vosotros mismos. Paso a paso, esté bien o mal. No solo el enunciado. De esa manera podremos saber vuestro nivel, en que podemos ayudaros, cuales son vuestros fallos.... Y el trabajo duro será el vuestro. Nos cuentas ¿ok? #nosvemosenclase ;-)
Hola
¿Alguien me puede ajustar esta reacción?
HNO3 +Cu→Cu(NO3)2+NO+H2O
(Si es posible con procedimiento para entenderlo mejor)
Muchas gracias.
Hola, te explico. la reacción ajustada es 8HNO3 + 3Cu --> 3Cu(NO3)2 + 2NO + 4H2O
el orden para hacer este ajuste es el siguiente:
Primero se ajustan los átomos de los metales, teniendo prioridad los más pesados.
A continuación se ajustan los no metales, teniendo también prioridad los más pesados
Luego, revisas que no haya desajustado nada
Finalizas haciendo el ajuste pasa el H y el O.
Esta reacción es bastante dificultosa, no es fácil su ajuste. Practica mucho y seguro que lo lograras.
Hola Unicoos, sera que me pueden ayudar con la B ?? Esto fue lo único que hice, y no sé cómo proseguir, había intentado algo pero me daba 50% y esa no es la respuesta correcta (si lo es 0,30%) gracias.

la ecuación sería más bien:
AH (asipirina) <-> A- + H+
tu concentracion inicial de aspirina es 0,2M, y tu concentración inicial de H+ es 0,1M, la de A- es 0M
A partir de ahí, haces la tabla, restando y sumando lo que has de restar y sumar, y calculas.
A mi me acaba de dar 0,299% (aprox. tu 0,3).
Un saludo,
Breaking Vlad
¿Cómo prepararía HCl ± 0.2 N a partir de un HCl concentrado 33 °p/°p y ρ= 1.18 g/mL?
Asumir un volumen de preparación igual a 500 mL
Hola, buenas, podrían ayudarme con una duda sobre potenciales REDOX?
Discute, justificando tu respuesta, si el electrodo de Fe3+/Fe2+ en condiciones normales se oxidará o se reducirá espontáneamente frente al electrodo normal de hidrógeno.
Dato: E0 (Fe3+/Fe2+) = 0,77V
Muchas gracias.

Te sugiero este video..
Fem de una pila
A partir de ahí, se trata de que DESPUES DE IR A CLASE (ver los vídeos relacionados con vuestras dudas) enviéis dudas concretas, muy concretas. Y que nos enviéis también todo aquello que hayais conseguido hacer por vosotros mismos. Paso a paso, esté bien o mal. No solo el enunciado. De esa manera podremos saber vuestro nivel, en que podemos ayudaros, cuales son vuestros fallos.... Y el trabajo duro será el vuestro. Nos cuentas ¿ok? #nosvemosenclase ;-)
Hola, buen dia, me podrian ayudar con esta pregunta: ¿Porque las sales de aluminio hidrolizan con facilidad?
Tengo entendido que es por tener un caracter polar alto, debido a su densidad de carga alta (dc=carga/tamaño). Esto quiere decir que las sales que forme el Al van tender a rodearse de moleculas de agua para compensar. Pero no estoy seguro de eso.
Muchas gracias y mil disculpas las molestias.

Hola! Me encantaría ayudarte, pero no respondo dudas universitarias que no tengan que ver específicamente con los videos que ya he grabado como excepcion. O de otras asignaturas que no sean matemáticas, física y química. Lo siento de corazón… Espero lo entiendas
Ojalá algun unicoo universitario se anime a ayudarte (de hecho lo ideal es que todos los universitarios intentarais ayudaros los unos a los otros)
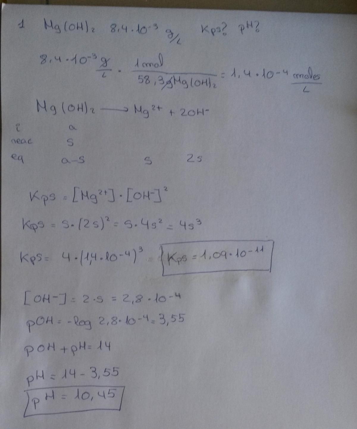
Hola!! Me podéis comprovar que esté bien el ejercicio por favor?
El enunciado es: Calcula el producto de solubilidad del hidróxido de manganeso (II) si a 25ºC una disolución saturada contiene 8,4•10-3g por cada litro de disolución. Cual es su pH?

Hola Mireia...
No sé como decírtelo... ¿Te echo la bronca? :P (es broma)
El ejercicio lo tienes PERFECTO, peeeeero... es hidróxido de MANGANESO no de Magnesio... es Mn(OH)2 y tú has puesto Mg(OH)2. Con eso cambia la masa molecular, la concentración y todos los resultados.
El desarrollo lo tienes impecable, pero has fallado en eso desde el principio. Mucho cuidado con esos fallos que te puedes cargar un examen entero. ;)
Un saludo,
Breaking Vlad