
Se trata de que DESPUES DE IR A CLASE (ver los vídeos relacionados con
vuestras dudas) enviéis dudas concretas, muy concretas. Y que nos enviéis
también todo aquello que hayais conseguido hacer por vosotros mismos. Paso a
paso, esté bien o mal. No solo el enunciado. De esa manera podremos saber
vuestro nivel, en que podemos ayudaros, cuales son vuestros fallos.... Y el
trabajo duro será el vuestro. Nos cuentas ¿ok? #nosvemosenclase ;-)
Hola, por favor me pueden ayudar con este ejercicio: UN PESO MIDE UNA MASA DE 68.70Kg PARA UNA PERSONA, LA MASA VERDADERA DE ESTA PERONA ES DE 68.75Kg. CALCULA EL ERROR RELATIVO DE LA MEDIDA.
Gracias.

Se trata de que DESPUES DE IR A CLASE (ver los vídeos relacionados con
vuestras dudas) enviéis dudas concretas, muy concretas. Y que nos enviéis
también todo aquello que hayais conseguido hacer por vosotros mismos. Paso a
paso, esté bien o mal. No solo el enunciado. De esa manera podremos saber
vuestro nivel, en que podemos ayudaros, cuales son vuestros fallos.... Y el
trabajo duro será el vuestro. Nos cuentas ¿ok? #nosvemosenclase ;-)
Buenas, a ver si me podéis ayudar, que no hago más que dar vueltas:
dG=0 en reacciones reversibles, siempre que no haya trabajo útil, es decir haya únicamente en el proceso trabajo de expansión, en este caso cuando dG<0, se dice que la reacción es espontanea, y que libera energía que puede hacer trabajo, y teniendo en cuenta que se dice en la definición que el proceso no tienen trabajo distintos al de expansión, no seria esto una contradicción.
Por otro lado una reacción reversible en la que existe un trabajo útil, en ese caso dG=Wútil, cual seria en este caso el criterio de espontaneidad???
Espero que alguien me pueda ayudar, seguro que David me dice que se sale de nivel, pero igual alguien me puede decir algo al respecto... muchas gracias
Saludos
HOLA ...ALGUIEN PODRIA AYUDARME CON ESTE EJERCICIO QUE ME TIENE LOCO PORFA....
UN RECIPIENTE DE ACERO DE 20 LITROS DE CAPACIDAD CONTIENE UNA MEZCLA DE ACETILENO Y METANO. SI LA PRESIÓN MANOMETRICA DE LA MEZCLA DE GASES ES DE 5 PSI Y LA MEZCLA CONTIENE UNA QUINTA PARTE DE ACETILENO
1-DETERMINE EL PESO MOLECULAR PROMEDIO DE LA MEZCLA
2-LAS PRESIONES ABSOLUTAS DE CADA UNO DE LOS GASES COMPONENTES DE LA MEZCLA
LO QUE NO PUDE ES CONSEGUIR LA FRACCIÓN MOLAR O EL NUMERO DE MOLES TOTALES...

Hola Gustavo,
Ese ejercicio no es nada difícil de resolver, el problema es que está mal planteado.
Dice que la mezcla contiene una quinta parte de acetileno, y para resolver bien el ejercicio necesitamos saber si esa quinta parte se refiere a moles o a masa. Una vez que sepamos ese dato, te puedo ayudar sin ningún problema ;)
Un saludo,
Breaking Vlad

Te sugiero este video..
Termodinámica Ley de Hess
A partir de ahí, se trata de que DESPUES DE IR A CLASE (ver los vídeos relacionados con vuestras dudas) enviéis dudas concretas, muy concretas. Y que nos enviéis también todo aquello que hayais conseguido hacer por vosotros mismos. Paso a paso, esté bien o mal. No solo el enunciado. De esa manera podremos saber vuestro nivel, en que podemos ayudaros, cuales son vuestros fallos.... Y el trabajo duro será el vuestro. Nos cuentas ¿ok? #nosvemosenclase ;-)
Fabricar los siguientes enlaces iónicos escribiendo para cada elemento su configuración electrónica indicando cuántos electrones quiere ganar o perder, y a continuación escribiendo y ajustando las ecuaciones iónicas:
a) sodio con azufre.
b) calcio con bromo.
Me pueden ayudar con este ejercicio por favor, la primera parte , con la configuración electrónica, si que lo entiendo y lo hago, el Na tiende a perder un electrón y el S tiende a ganar dos electrones. Lo que no me aclaro luego es lo de escribir y ajustar las ecuaciones iónicas...

Hola Lucía,
Las ecuaciones iónicas no son más que la formación de dichas especies.
Imagínate que una fuera el bromo con potasio. El bromo tiende a ganar 1 electrón y el potasio a perder 1 también. Luego, la ecuación iónica sería la siguiente: K+ + Br- -> NaBr
Aplica el mismo concepto a tus reacciones, ajústalas y eso es todo ;)
Un saludo,
Breaking Vlad
pueden corregirme este ejercicio?
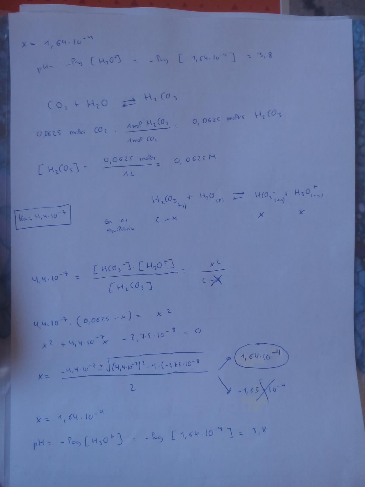
Supongamos que la milésima parte del CO2 que se produce en la reacción anterior se disuelve en el agua del mar. Teniendo en cuenta únicamente la primera ionización del ácido carbónico cuya constante de acidez es Ka = 4,4 . 10-7 , y partiendo de la reacción que has escrito en el apartado 3, calcula el pH al que daría lugar la disolución de ese CO2 en un litro de agua. (Para hacer los cálculos desprecia el volumen de H2CO3 al hallar su concentración molar, desprecia asimismo las cantidades pequeñas a la hora de resolver la ecuación de segundo grado)
Buen día me podrían ayudar con esto: En una hoja de Excel haga una curva de titulación de Na2CO3 0,100 M con HCl
0,10M.
Ka1: 4,45x10-7
ka2: 4,69x10-11
Gracias

Se trata de que DESPUES DE IR A CLASE (ver los vídeos relacionados con
vuestras dudas) enviéis dudas concretas, muy concretas. Y que nos enviéis
también todo aquello que hayais conseguido hacer por vosotros mismos. Paso a
paso, esté bien o mal. No solo el enunciado. De esa manera podremos saber
vuestro nivel, en que podemos ayudaros, cuales son vuestros fallos.... Y el
trabajo duro será el vuestro. Nos cuentas ¿ok? #nosvemosenclase ;-)