Hola!! Me podríais ayudar a ajustar esta reacción química? Se oxidan dos, y se reduce el oxígeno de -1 a -2.
Gracias!!

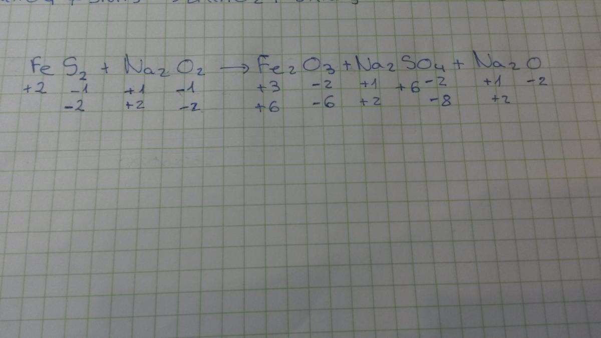
Hola Mireia,
Esta reacción es bastante compleja de ajustar de hecho. Se resolvería haciendo por separado cada una de las reacciones redox, es decir, por un lado ajustar la oxidación del hierro a través del peróxido, y por otro lado ajustar la oxidación del disulfuro a través del peróxido.
Finalmente combinar ambas reacciones. Ten en cuenta que es en medio básico, y que por lo tanto tendrás que añadir moléculas de NaOH, y H2O en tu reacción ;)
Un saludo,
Breaking Vlad
La reacción química ajustada quedaría: C2H6 + 7/2 O2 >> 2CO2 + 3H20
Lo primero que tienes que ajustar son el Carbono y el Hidrógeno de la derecha y después con lo que te quede ajustar el oxígeno, es una reacción de combustión así que si lo haces en ese orden te sera más fácil, al igual que con cualquier otra reacción de combustión. ¡Un saludo!
Buenas, alguien podría explicarme como se hace?
Se dispone de un ácido sulfúrico concentrado de densidad 1,824 gr/cm3 y de un 92% en peso de H2SO4 .
Calcular
a) Volumen de ácido que hay que tomar para preparar 500 cm3 de un ácido 0,5 N
b) Cuánto hay que diluir el ácido concentrado para obtener un ácido 2 N.
Gracias¡¡

Hola Judit,
de momento vas bien, si necesitas pistas sobre como seguir, te recomiendo este vídeo:
Un saludo,
Breaking Vlad

Hola Judit,
Arriba el NO3- pasa a NO2-, ahí tienes la semireacción de reducción
Abajo el I- pasa a I2, ahí tienes la semireacción de oxidación
Si necesitas un cable, tienes este vídeo ;)
Ajustar una reacción en medio acido - Ion-electron
Un saludo,
Breaking Vlad
Hola buenas! Alguno de vosotros podria ayudarme con este ejercicio de acidos y bases de 2 de Bach?19:42En 1L de agua se disuelven aproximadamente 0.01 g de Mg(OH)2 . Calcula la concentracion de iones hidroxido y el pH de esta disolucion
El Mn en los productos tiene valencia 6, por tanto la reacción de oxidación es MnO2 + 2 H2O -> MnO4(2-) + 4 H+ + 2 e-
Por otro lado, en la de reducción debes poner H2O en los productos para ajustar los Oxígenos, quedando la redacción ClO3- + 6 H+ + 6 e- -> Cl- + 3 H2O
El resto deberías ser perfectamente capaz de resolverlo tú sola a partir de aquí :)